Luftberg – wentylatory przemysłowe., wentylatory EBM Papst

Seria FCP-ATX

Qmax = 30000 m3/h
Pst = 1750 Pa
T = -20…+60 °C
ATEX 2G, 3G, 2D, 3D

OPIS
Przeciwwybuchowe wentylatory dachowe serii FCP-ATX to urządzenia niskociśnieniowe, zaprojektowane z myślą o łatwej instalacji, wysokiej wydajności oraz niskim poziomie hałasu. Przeznaczone są pracy z czystym oraz lekko zapylonym powietrzem w strefie zagrożenia wybuchem 1, 2 oraz 21, 22 wg ATEX (EX). Zaprojektowane oraz wytworzone zgodnie z obowiązującymi warunkami i założeniami Dyrektywy 2014/34/UE. Znajdują zastosowanie w budynkach mieszkalnych, komercyjnych i przemysłowych, w wentylacji bezpośredniej oraz kanałowej. Maksymalna temperatura przetłaczanego medium wynosi +60°C. Wentylatory FCP-ATX wykonane z poziomym wyrzutem powietrza.

KONSTRUKCJA
– podstawa wentylatora z galwanizowanej blachy stalowej
– wirnik promieniowy z łopatami zagiętymi do tyłu, wyważony statycznie oraz dynamicznie zgodnie z normą SO 21940-11:2017
– siatka ochronna wentylatora zabezpieczona przeciwko czynnikom atmosferycznym
– kopuła wentylatora z tworzywa ABS
– napęd wentylatora bezpośredni (wirnik osadzony na wale silnika), silnik odseparowany od przetłaczającego medium
– silnik asynchroniczny jednofazowy lub trójfazowy w wersji przeciwwybuchowej przystosowany do pracy ciągłej S1, możliwa regulacja prędkości obrotowej, stopień ochrony IP55, klasa izolacji F
– silniki zgodne z normami międzynarodowymi IEC 60034, IEC 60072, EMC 2004/108/CE, LVD 2006/95/CE, IEC 60079, IEC 61241, silniki oznakowane znakiem ATEX

DOSTĘPNE WYKONANIA
– wykonanie przeciwwybuchowe ATEX/EX:
– – strefa 1: II2G Ex h IIB T4 Gb
– – strefa 1 wodorowa: II2G Ex IIB + H2 T4 Gb
– – strefa 21: II2D Ex h IIIB T 135°C Db
– – inne wykonania ATEX na zapytanie
– zakres temperaturowy przetłaczanego medium -40…+60°C
– wykonanie z pionowym wyrzutem powietrza

SPECYFIKACJA
– przetłaczane medium: powietrze czyste oraz lekko zanieczyszczone
– zakres temperaturowy przetłaczanego medium -20…+60°C
– napięcie zasilania 1x230VAC lub 3x400VAC 50Hz (inne na zapytanie)
– poziomy wyrzut powietrza

AKCESORIA
– grawitacyjna klapa zwrotna
– tłumik akustyczny
– siatka zabezpieczająca płaska
– cokół izolowany
– wyłącznik serwisowy

Zdjęcie Nazwa Wykonanie Wydajność (m3/h) Ciśnienie (Pa) Moc (kW) Prędkość (obr/min) Napięcie (V) Wysyłka Cena
Karta katalogowa
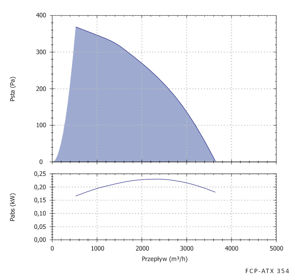
przeciwwybuchowe ATEX 2G, 3G, 2D, 3D 3600 360 0.25 1400 1~230 zapytaj o termin
NA ZAMÓWIENIE
Wyślij zapytanie

FCP-ATX 354M wentylator dachowy przeciwwybuchowy

Wyślij zapytanie
Wykonanie przeciwwybuchowe ATEX 2G, 3G, 2D, 3D
Wydajność (m3/h) 3600
Ciśnienie (Pa) 360
Moc (kW) 0.25
Prędkość (obr/min) 1400
Napięcie (V) 1~230
Rodzaj wentylatora wentylator dachowy
Typ silnika AC jednofazowy
Zakres temperatury (°C) -20...+40 (+60)
Klasa izolacji F
Ochrona IP55 (IP65)
Regulacja -
Materiał wentylatora blacha stalowa galwanizowa/ABS

 width=

 width=

 width=

Karta katalogowa
przeciwwybuchowe ATEX 2G, 3G, 2D, 3D 3600 360 0.25 1400 3~400 zapytaj o termin
NA ZAMÓWIENIE
Wyślij zapytanie

FCP-ATX 354T wentylator dachowy przeciwwybuchowy

Wyślij zapytanie
Wykonanie przeciwwybuchowe ATEX 2G, 3G, 2D, 3D
Wydajność (m3/h) 3600
Ciśnienie (Pa) 360
Moc (kW) 0.25
Prędkość (obr/min) 1400
Napięcie (V) 3~400
Rodzaj wentylatora wentylator dachowy
Typ silnika AC trójfazowy
Zakres temperatury (°C) -20...+40 (+60)
Klasa izolacji F
Ochrona IP55 (IP65)
Regulacja częstotliwościowa
Materiał wentylatora blacha stalowa galwanizowa/ABS

 width=

 width=

 width=

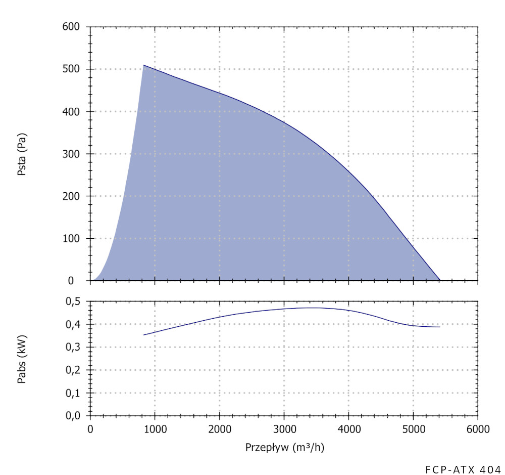
Karta katalogowa
przeciwwybuchowe ATEX 2G, 3G, 2D, 3D 5400 500 0.55 1400 1~230 zapytaj o termin
NA ZAMÓWIENIE
Wyślij zapytanie

FCP-ATX 404M wentylator dachowy przeciwwybuchowy

Wyślij zapytanie
Wykonanie przeciwwybuchowe ATEX 2G, 3G, 2D, 3D
Wydajność (m3/h) 5400
Ciśnienie (Pa) 500
Moc (kW) 0.55
Prędkość (obr/min) 1400
Napięcie (V) 1~230
Rodzaj wentylatora wentylator dachowy
Typ silnika AC jednofazowy
Zakres temperatury (°C) -20...+40 (+60)
Klasa izolacji F
Ochrona IP55 (IP65)
Regulacja -
Materiał wentylatora blacha stalowa galwanizowa/ABS

 width=

 width=

 width=

Karta katalogowa
przeciwwybuchowe ATEX 2G, 3G, 2D, 3D 5400 500 0.55 1400 3~400 zapytaj o termin
NA ZAMÓWIENIE
Wyślij zapytanie

FCP-ATX 404T wentylator dachowy przeciwwybuchowy

Wyślij zapytanie
Wykonanie przeciwwybuchowe ATEX 2G, 3G, 2D, 3D
Wydajność (m3/h) 5400
Ciśnienie (Pa) 500
Moc (kW) 0.55
Prędkość (obr/min) 1400
Napięcie (V) 3~400
Rodzaj wentylatora wentylator dachowy
Typ silnika AC trójfazowy
Zakres temperatury (°C) -20...+40 (+60)
Klasa izolacji F
Ochrona IP55 (IP65)
Regulacja częstotliwościowa
Materiał wentylatora blacha stalowa galwanizowa/ABS

 width=

 width=

 width=

Karta katalogowa
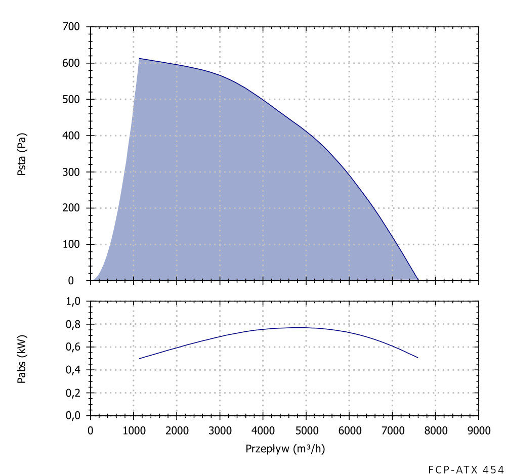
przeciwwybuchowe ATEX 2G, 3G, 2D, 3D 7600 600 0.75 1400 1~230 zapytaj o termin
NA ZAMÓWIENIE
Wyślij zapytanie

FCP-ATX 454M wentylator dachowy przeciwwybuchowy

Wyślij zapytanie
Wykonanie przeciwwybuchowe ATEX 2G, 3G, 2D, 3D
Wydajność (m3/h) 7600
Ciśnienie (Pa) 600
Moc (kW) 0.75
Prędkość (obr/min) 1400
Napięcie (V) 1~230
Rodzaj wentylatora wentylator dachowy
Typ silnika AC jednofazowy
Zakres temperatury (°C) -20...+40 (+60)
Klasa izolacji F
Ochrona IP55 (IP65)
Regulacja -
Materiał wentylatora blacha stalowa galwanizowa/ABS

 width=

 width=

 width=

Karta katalogowa
przeciwwybuchowe ATEX 2G, 3G, 2D, 3D 7600 600 0.75 1400 3~400 zapytaj o termin
NA ZAMÓWIENIE
Wyślij zapytanie

FCP-ATX 454T wentylator dachowy przeciwwybuchowy

Wyślij zapytanie
Wykonanie przeciwwybuchowe ATEX 2G, 3G, 2D, 3D
Wydajność (m3/h) 7600
Ciśnienie (Pa) 600
Moc (kW) 0.75
Prędkość (obr/min) 1400
Napięcie (V) 3~400
Rodzaj wentylatora wentylator dachowy
Typ silnika AC trójfazowy
Zakres temperatury (°C) -20...+40 (+60)
Klasa izolacji F
Ochrona IP55 (IP65)
Regulacja częstotliwościowa
Materiał wentylatora blacha stalowa galwanizowa/ABS

 width=

 width=

 width=

Karta katalogowa
przeciwwybuchowe ATEX 2G, 3G, 2D, 3D 10000 800 1.5 1400 3~400 zapytaj o termin
NA ZAMÓWIENIE
Wyślij zapytanie

FCP-ATX 504T wentylator dachowy przeciwwybuchowy

Wyślij zapytanie
Wykonanie przeciwwybuchowe ATEX 2G, 3G, 2D, 3D
Wydajność (m3/h) 10000
Ciśnienie (Pa) 800
Moc (kW) 1.5
Prędkość (obr/min) 1400
Napięcie (V) 3~400
Rodzaj wentylatora wentylator dachowy
Typ silnika AC trójfazowy
Zakres temperatury (°C) -20...+40 (+60)
Klasa izolacji F
Ochrona IP55 (IP65)
Regulacja częstotliwościowa
Materiał wentylatora blacha stalowa galwanizowa/ABS

 width=

 width=

 width=

Karta katalogowa
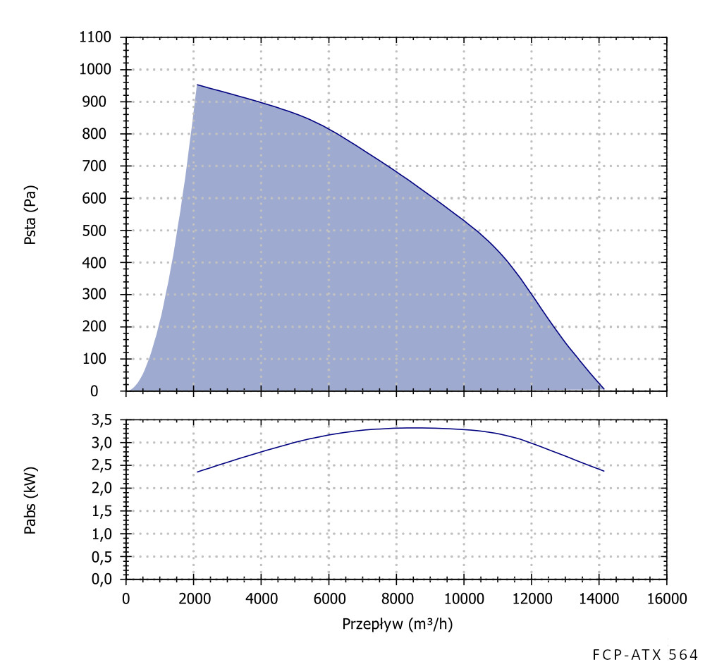
przeciwwybuchowe ATEX 2G, 3G, 2D, 3D 14150 950 3 1400 3~400 zapytaj o termin
NA ZAMÓWIENIE
Wyślij zapytanie

FCP-ATX 564T wentylator dachowy przeciwwybuchowy

Wyślij zapytanie
Wykonanie przeciwwybuchowe ATEX 2G, 3G, 2D, 3D
Wydajność (m3/h) 14150
Ciśnienie (Pa) 950
Moc (kW) 3
Prędkość (obr/min) 1400
Napięcie (V) 3~400
Rodzaj wentylatora wentylator dachowy
Typ silnika AC trójfazowy
Zakres temperatury (°C) -20...+40 (+60)
Klasa izolacji F
Ochrona IP55 (IP65)
Regulacja częstotliwościowa
Materiał wentylatora blacha stalowa galwanizowa/ABS

 width=

 width=

 width=

Karta katalogowa
przeciwwybuchowe ATEX 2G, 3G, 2D, 3D 9100 400 0.55 900 3~400 zapytaj o termin
NA ZAMÓWIENIE
Wyślij zapytanie

FCP-ATX 566T wentylator dachowy przeciwwybuchowy

Wyślij zapytanie
Wykonanie przeciwwybuchowe ATEX 2G, 3G, 2D, 3D
Wydajność (m3/h) 9100
Ciśnienie (Pa) 400
Moc (kW) 0.55
Prędkość (obr/min) 900
Napięcie (V) 3~400
Rodzaj wentylatora wentylator dachowy
Typ silnika AC trójfazowy
Zakres temperatury (°C) -20...+40 (+60)
Klasa izolacji F
Ochrona IP55 (IP65)
Regulacja częstotliwościowa
Materiał wentylatora blacha stalowa galwanizowa/ABS

 width=

 width=

 width=

Karta katalogowa
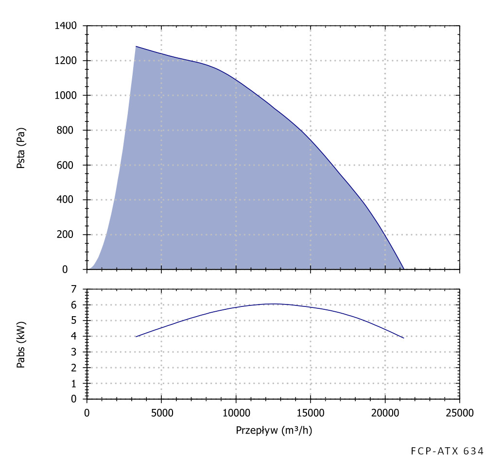
przeciwwybuchowe ATEX 2G, 3G, 2D, 3D 21200 1300 5.5 1400 3~400 zapytaj o termin
NA ZAMÓWIENIE
Wyślij zapytanie

FCP-ATX 634T wentylator dachowy przeciwwybuchowy

Wyślij zapytanie
Wykonanie przeciwwybuchowe ATEX 2G, 3G, 2D, 3D
Wydajność (m3/h) 21200
Ciśnienie (Pa) 1300
Moc (kW) 5.5
Prędkość (obr/min) 1400
Napięcie (V) 3~400
Rodzaj wentylatora wentylator dachowy
Typ silnika AC trójfazowy
Zakres temperatury (°C) -20...+40 (+60)
Klasa izolacji F
Ochrona IP55 (IP65)
Regulacja częstotliwościowa
Materiał wentylatora blacha stalowa galwanizowa/ABS

 width=

 width=

 width=

Karta katalogowa
przeciwwybuchowe ATEX 2G, 3G, 2D, 3D 13700 550 1.1 900 3~400 zapytaj o termin
NA ZAMÓWIENIE
Wyślij zapytanie

FCP-ATX 636T wentylator dachowy przeciwwybuchowy

Wyślij zapytanie
Wykonanie przeciwwybuchowe ATEX 2G, 3G, 2D, 3D
Wydajność (m3/h) 13700
Ciśnienie (Pa) 550
Moc (kW) 1.1
Prędkość (obr/min) 900
Napięcie (V) 3~400
Rodzaj wentylatora wentylator dachowy
Typ silnika AC trójfazowy
Zakres temperatury (°C) -20...+40 (+60)
Klasa izolacji F
Ochrona IP55 (IP65)
Regulacja częstotliwościowa
Materiał wentylatora blacha stalowa galwanizowa/ABS

 width=

 width=

 width=

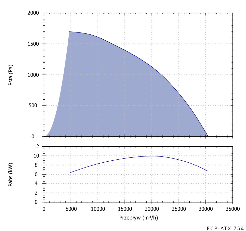
Karta katalogowa
przeciwwybuchowe ATEX 2G, 3G, 2D, 3D 29900 1600 9.2 1400 3~400 zapytaj o termin
NA ZAMÓWIENIE
Wyślij zapytanie

FCP-ATX 754T wentylator dachowy przeciwwybuchowy

Wyślij zapytanie
Wykonanie przeciwwybuchowe ATEX 2G, 3G, 2D, 3D
Wydajność (m3/h) 29900
Ciśnienie (Pa) 1600
Moc (kW) 9.2
Prędkość (obr/min) 1400
Napięcie (V) 3~400
Rodzaj wentylatora wentylator dachowy
Typ silnika AC trójfazowy
Zakres temperatury (°C) -20...+40 (+60)
Klasa izolacji F
Ochrona IP55 (IP65)
Regulacja częstotliwościowa
Materiał wentylatora blacha stalowa galwanizowa/ABS

 width=

 width=

 width=

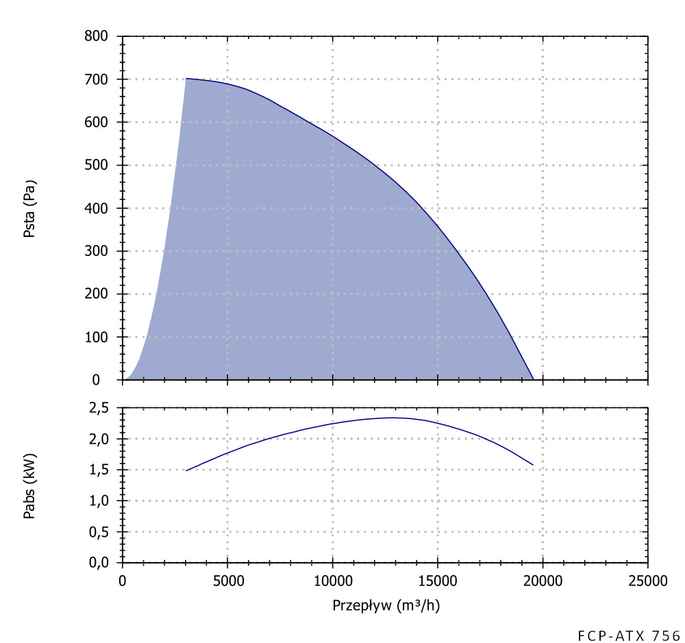
Karta katalogowa
przeciwwybuchowe ATEX 2G, 3G, 2D, 3D 19500 700 2.2 900 3~400 zapytaj o termin
NA ZAMÓWIENIE
Wyślij zapytanie

FCP-ATX 756T wentylator dachowy przeciwwybuchowy

Wyślij zapytanie
Wykonanie przeciwwybuchowe ATEX 2G, 3G, 2D, 3D
Wydajność (m3/h) 19500
Ciśnienie (Pa) 700
Moc (kW) 2.2
Prędkość (obr/min) 900
Napięcie (V) 3~400
Rodzaj wentylatora wentylator dachowy
Typ silnika AC trójfazowy
Zakres temperatury (°C) -20...+40 (+60)
Klasa izolacji F
Ochrona IP55 (IP65)
Regulacja częstotliwościowa
Materiał wentylatora blacha stalowa galwanizowa/ABS

 width=

 width=

 width=

Karta katalogowa
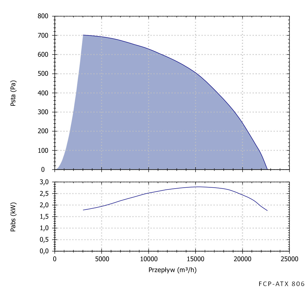
przeciwwybuchowe ATEX 2G, 3G, 2D, 3D 22500 700 3 900 3~400 zapytaj o termin
NA ZAMÓWIENIE
Wyślij zapytanie

FCP-ATX 806T wentylator dachowy przeciwwybuchowy

Wyślij zapytanie
Wykonanie przeciwwybuchowe ATEX 2G, 3G, 2D, 3D
Wydajność (m3/h) 22500
Ciśnienie (Pa) 700
Moc (kW) 3
Prędkość (obr/min) 900
Napięcie (V) 3~400
Rodzaj wentylatora wentylator dachowy
Typ silnika AC trójfazowy
Zakres temperatury (°C) -20...+40 (+60)
Klasa izolacji F
Ochrona IP55 (IP65)
Regulacja częstotliwościowa
Materiał wentylatora blacha stalowa galwanizowa/ABS

 width=

 width=

 width=

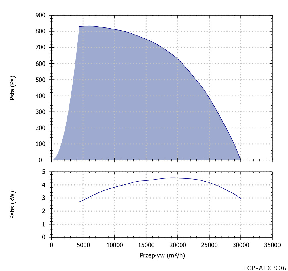
Karta katalogowa
przeciwwybuchowe ATEX 2G, 3G, 2D, 3D 30000 830 5.5 900 3~400 zapytaj o termin
NA ZAMÓWIENIE
Wyślij zapytanie

FCP-ATX 906T wentylator dachowy przeciwwybuchowy

Wyślij zapytanie
Wykonanie przeciwwybuchowe ATEX 2G, 3G, 2D, 3D
Wydajność (m3/h) 30000
Ciśnienie (Pa) 830
Moc (kW) 5.5
Prędkość (obr/min) 900
Napięcie (V) 3~400
Rodzaj wentylatora wentylator dachowy
Typ silnika AC trójfazowy
Zakres temperatury (°C) -20...+40 (+60)
Klasa izolacji F
Ochrona IP55 (IP65)
Regulacja częstotliwościowa
Materiał wentylatora blacha stalowa galwanizowa/ABS

 width=

 width=

 width=