Luftberg – wentylatory przemysłowe., wentylatory EBM Papst

Seria FCV-ATX

Qmax = 20000 m3/h
Pst = 760 Pa
T = -20…+60 °C
ATEX 2G, 3G, 2D, 3D

OPIS
Przeciwwybuchowe wentylatory dachowe serii FCV-ATX to urządzenia niskociśnieniowe, zaprojektowane z myślą o łatwej instalacji, wysokiej wydajności oraz niskim poziomie hałasu. Przeznaczone są pracy z czystym oraz lekko zapylonym powietrzem w strefie zagrożenia wybuchem 1, 2 oraz 21, 22 wg ATEX (EX). Zaprojektowane oraz wytworzone zgodnie z obowiązującymi warunkami i założeniami Dyrektywy 2014/34/UE. Znajdują zastosowanie w budynkach mieszkalnych, komercyjnych i przemysłowych, w wentylacji bezpośredniej oraz kanałowej. Maksymalna temperatura przetłaczanego medium wynosi +60°C. Wentylatory FCV-ATX wykonane z pionowym wyrzutem powietrza.

KONSTRUKCJA
– podstawa wentylatora z galwanizowanej blachy stalowej
– wirnik promieniowy z łopatami zagiętymi do tyłu, wyważony statycznie oraz dynamicznie zgodnie z normą SO 21940-11:2017
– siatka ochronna wentylatora zabezpieczona przeciwko czynnikom atmosferycznym
– kopuła wentylatora z tworzywa ABS
– napęd wentylatora bezpośredni (wirnik osadzony na wale silnika), silnik odseparowany od przetłaczającego medium
– silnik asynchroniczny jednofazowy lub trójfazowy w wersji przeciwwybuchowej przystosowany do pracy ciągłej S1, możliwa regulacja prędkości obrotowej, stopień ochrony IP55, klasa izolacji F
– silniki zgodne z normami międzynarodowymi IEC 60034, IEC 60072, EMC 2004/108/CE, LVD 2006/95/CE, IEC 60079, IEC 61241, silniki oznakowane znakiem ATEX

DOSTĘPNE WYKONANIA
– wykonanie przeciwwybuchowe ATEX/EX:
– – strefa 1: II2G Ex h IIB T4 Gb
– – strefa 1 wodorowa: II2G Ex IIB + H2 T4 Gb
– – strefa 21: II2D Ex h IIIB T 135°C Db
– – inne wykonania ATEX na zapytanie
– zakres temperaturowy przetłaczanego medium -40…+60°C
– wykonanie z poziomym wyrzutem powietrza

SPECYFIKACJA
– przetłaczane medium: powietrze czyste oraz lekko zanieczyszczone
– zakres temperaturowy przetłaczanego medium -20…+60°C
– napięcie zasilania 1x230VAC lub 3x400VAC 50Hz (inne na zapytanie)
– pionowy wyrzut powietrza

AKCESORIA
– grawitacyjna klapa zwrotna
– tłumik akustyczny
– siatka zabezpieczająca płaska
– cokół izolowany
– wyłącznik serwisowy

Zdjęcie Nazwa Wykonanie Wydajność (m3/h) Ciśnienie (Pa) Moc (kW) Prędkość (obr/min) Napięcie (V) Wysyłka Cena
Karta katalogowa
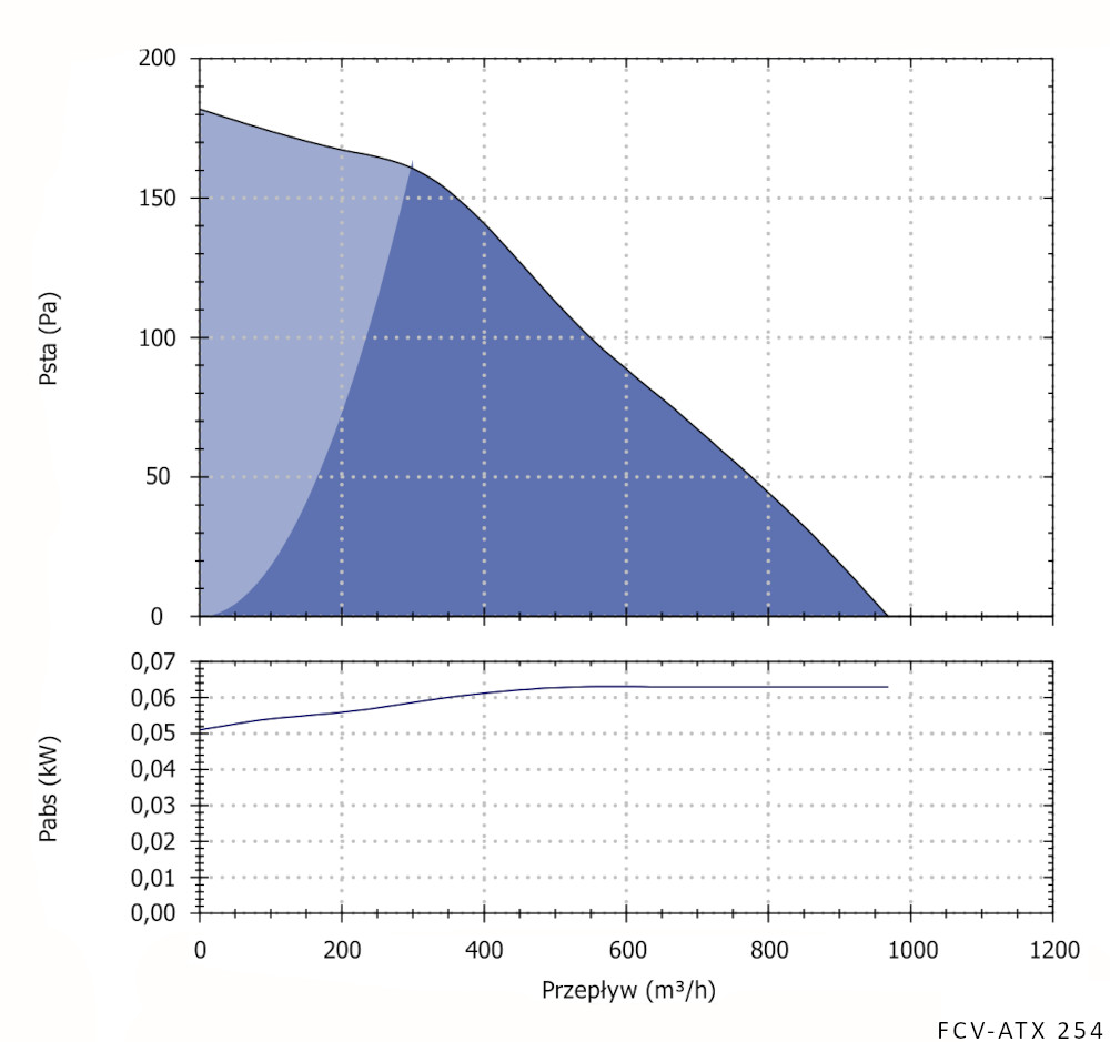
przeciwwybuchowe ATEX 2G, 3G, 2D, 3D 950 160 0.09 1440 1~230 zapytaj o termin
NA ZAMÓWIENIE
Wyślij zapytanie

FCV-ATX 254M wentylator dachowy przeciwwybuchowy

Wyślij zapytanie
Wykonanie przeciwwybuchowe ATEX 2G, 3G, 2D, 3D
Wydajność (m3/h) 950
Ciśnienie (Pa) 160
Moc (kW) 0.09
Prędkość (obr/min) 1440
Napięcie (V) 1~230
Rodzaj wentylatora wentylator dachowy
Typ silnika AC jednofazowy
Zakres temperatury (°C) -20...+40 (+60)
Klasa izolacji F
Ochrona IP55 (IP65)
Regulacja -
Materiał wentylatora blacha stalowa galwanizowa/ABS

 width=

 width=

 width=

Karta katalogowa
przeciwwybuchowe ATEX 2G, 3G, 2D, 3D 950 160 0.09 1440 3~400 zapytaj o termin
NA ZAMÓWIENIE
Wyślij zapytanie

FCV-ATX 254T wentylator dachowy przeciwwybuchowy

Wyślij zapytanie
Wykonanie przeciwwybuchowe ATEX 2G, 3G, 2D, 3D
Wydajność (m3/h) 950
Ciśnienie (Pa) 160
Moc (kW) 0.09
Prędkość (obr/min) 1440
Napięcie (V) 3~400
Rodzaj wentylatora wentylator dachowy
Typ silnika AC trójfazowy
Zakres temperatury (°C) -20...+40 (+60)
Klasa izolacji F
Ochrona IP55 (IP65)
Regulacja częstotliwościowa
Materiał wentylatora blacha stalowa galwanizowa/ABS

 width=

 width=

 width=

Karta katalogowa
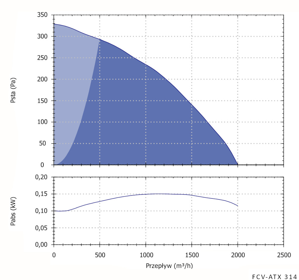
przeciwwybuchowe ATEX 2G, 3G, 2D, 3D 2000 290 0.12 1440 1~230 zapytaj o termin
NA ZAMÓWIENIE
Wyślij zapytanie

FCV-ATX 314M wentylator dachowy przeciwwybuchowy

Wyślij zapytanie
Wykonanie przeciwwybuchowe ATEX 2G, 3G, 2D, 3D
Wydajność (m3/h) 2000
Ciśnienie (Pa) 290
Moc (kW) 0.12
Prędkość (obr/min) 1440
Napięcie (V) 1~230
Rodzaj wentylatora wentylator dachowy
Typ silnika AC jednofazowy
Zakres temperatury (°C) -20...+40 (+60)
Klasa izolacji F
Ochrona IP55 (IP65)
Regulacja -
Materiał wentylatora blacha stalowa galwanizowa/ABS

 width=

 width=

 width=

Karta katalogowa
przeciwwybuchowe ATEX 2G, 3G, 2D, 3D 2000 290 0.12 1440 3~400 zapytaj o termin
NA ZAMÓWIENIE
Wyślij zapytanie

FCV-ATX 314T wentylator dachowy przeciwwybuchowy

Wyślij zapytanie
Wykonanie przeciwwybuchowe ATEX 2G, 3G, 2D, 3D
Wydajność (m3/h) 2000
Ciśnienie (Pa) 290
Moc (kW) 0.12
Prędkość (obr/min) 1440
Napięcie (V) 3~400
Rodzaj wentylatora wentylator dachowy
Typ silnika AC trójfazowy
Zakres temperatury (°C) -20...+40 (+60)
Klasa izolacji F
Ochrona IP55 (IP65)
Regulacja częstotliwościowa
Materiał wentylatora blacha stalowa galwanizowa/ABS

 width=

 width=

 width=

Karta katalogowa
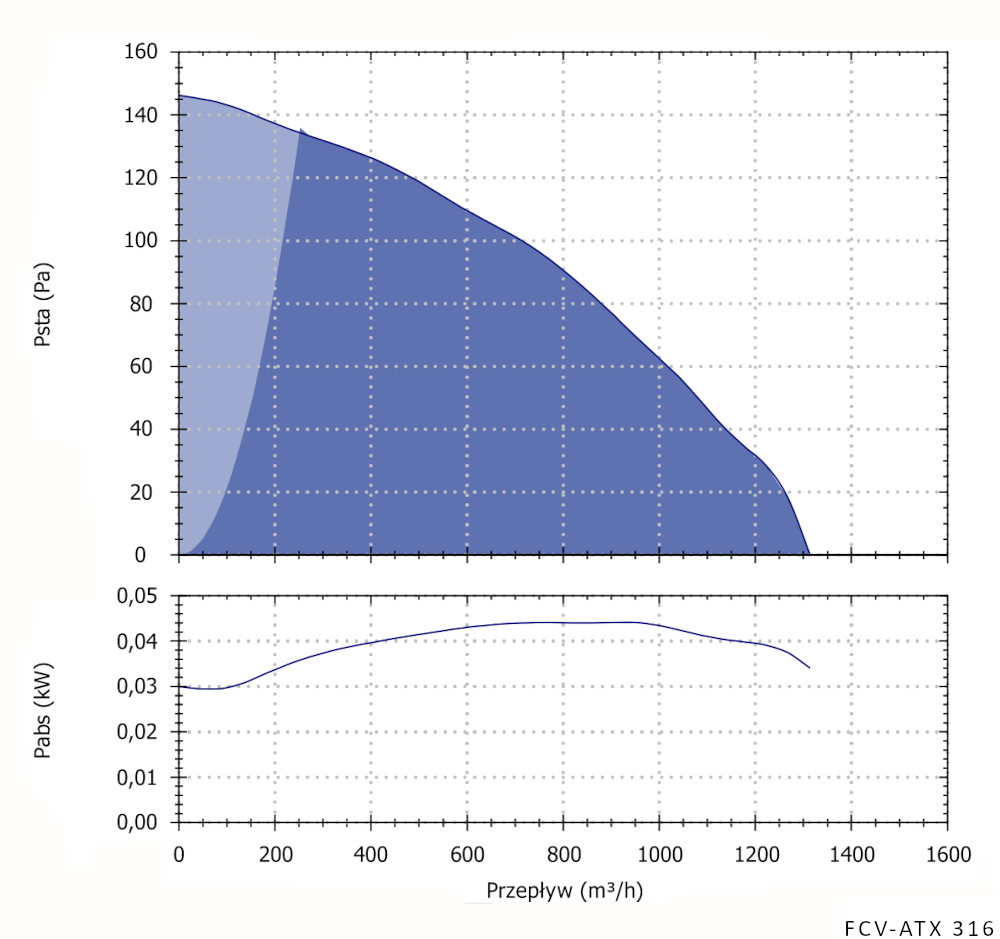
przeciwwybuchowe ATEX 2G, 3G, 2D, 3D 1300 130 0.09 960 3~400 zapytaj o termin
NA ZAMÓWIENIE
Wyślij zapytanie

FCV-ATX 316T wentylator dachowy przeciwwybuchowy

Wyślij zapytanie
Wykonanie przeciwwybuchowe ATEX 2G, 3G, 2D, 3D
Wydajność (m3/h) 1300
Ciśnienie (Pa) 130
Moc (kW) 0.09
Prędkość (obr/min) 960
Napięcie (V) 3~400
Rodzaj wentylatora wentylator dachowy
Typ silnika AC trójfazowy
Zakres temperatury (°C) -20...+40 (+60)
Klasa izolacji F
Ochrona IP55 (IP65)
Regulacja częstotliwościowa
Materiał wentylatora blacha stalowa galwanizowa/ABS

 width=

 width=

 width=

Karta katalogowa
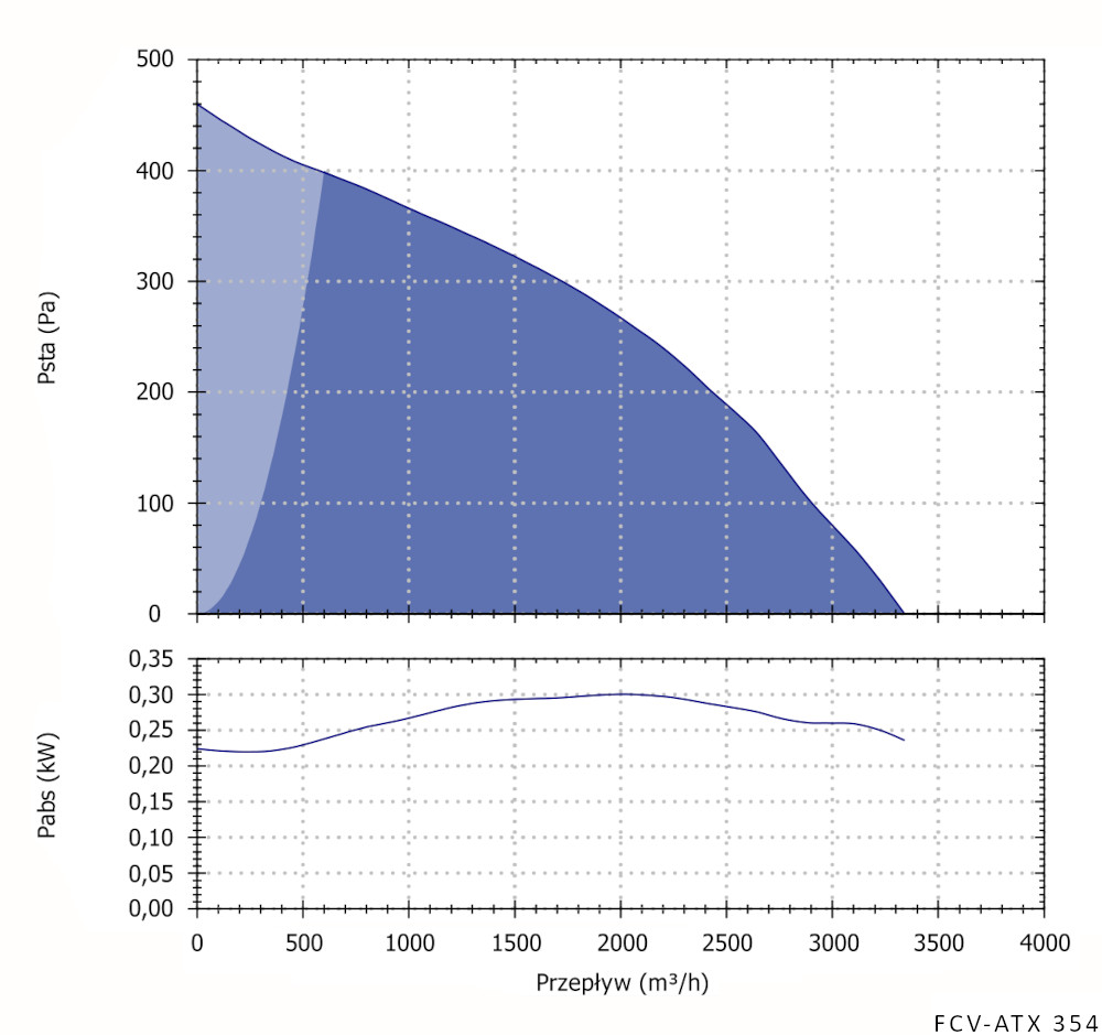
przeciwwybuchowe ATEX 2G, 3G, 2D, 3D 3300 400 0.25 1440 1~230 zapytaj o termin
NA ZAMÓWIENIE
Wyślij zapytanie

FCV-ATX 354M wentylator dachowy przeciwwybuchowy

Wyślij zapytanie
Wykonanie przeciwwybuchowe ATEX 2G, 3G, 2D, 3D
Wydajność (m3/h) 3300
Ciśnienie (Pa) 400
Moc (kW) 0.25
Prędkość (obr/min) 1440
Napięcie (V) 1~230
Rodzaj wentylatora wentylator dachowy
Typ silnika AC jednofazowy
Zakres temperatury (°C) -20...+40 (+60)
Klasa izolacji F
Ochrona IP55 (IP65)
Regulacja -
Materiał wentylatora blacha stalowa galwanizowa/ABS

 width=

 width=

 width=

Karta katalogowa
przeciwwybuchowe ATEX 2G, 3G, 2D, 3D 3300 400 0.25 1440 3~400 zapytaj o termin
NA ZAMÓWIENIE
Wyślij zapytanie

FCV-ATX 354T wentylator dachowy przeciwwybuchowy

Wyślij zapytanie
Wykonanie przeciwwybuchowe ATEX 2G, 3G, 2D, 3D
Wydajność (m3/h) 3300
Ciśnienie (Pa) 400
Moc (kW) 0.25
Prędkość (obr/min) 1440
Napięcie (V) 3~400
Rodzaj wentylatora wentylator dachowy
Typ silnika AC trójfazowy
Zakres temperatury (°C) -20...+40 (+60)
Klasa izolacji F
Ochrona IP55 (IP65)
Regulacja częstotliwościowa
Materiał wentylatora blacha stalowa galwanizowa/ABS

 width=

 width=

 width=

Karta katalogowa
przeciwwybuchowe ATEX 2G, 3G, 2D, 3D 2400 180 0.18 960 3~400 zapytaj o termin
NA ZAMÓWIENIE
Wyślij zapytanie

FCV-ATX 356T wentylator dachowy przeciwwybuchowy

Wyślij zapytanie
Wykonanie przeciwwybuchowe ATEX 2G, 3G, 2D, 3D
Wydajność (m3/h) 2400
Ciśnienie (Pa) 180
Moc (kW) 0.18
Prędkość (obr/min) 960
Napięcie (V) 3~400
Rodzaj wentylatora wentylator dachowy
Typ silnika AC trójfazowy
Zakres temperatury (°C) -20...+40 (+60)
Klasa izolacji F
Ochrona IP55 (IP65)
Regulacja częstotliwościowa
Materiał wentylatora blacha stalowa galwanizowa/ABS

 width=

 width=

 width=

Karta katalogowa
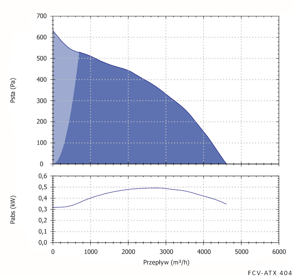
przeciwwybuchowe ATEX 2G, 3G, 2D, 3D 4600 540 0.55 1440 1~230 zapytaj o termin
NA ZAMÓWIENIE
Wyślij zapytanie

FCV-ATX 404M wentylator dachowy przeciwwybuchowy

Wyślij zapytanie
Wykonanie przeciwwybuchowe ATEX 2G, 3G, 2D, 3D
Wydajność (m3/h) 4600
Ciśnienie (Pa) 540
Moc (kW) 0.55
Prędkość (obr/min) 1440
Napięcie (V) 1~230
Rodzaj wentylatora wentylator dachowy
Typ silnika AC jednofazowy
Zakres temperatury (°C) -20...+40 (+60)
Klasa izolacji F
Ochrona IP55 (IP65)
Regulacja -
Materiał wentylatora blacha stalowa galwanizowa/ABS

 width=

 width=

 width=

Karta katalogowa
przeciwwybuchowe ATEX 2G, 3G, 2D, 3D 4600 540 0.55 1440 3~400 zapytaj o termin
NA ZAMÓWIENIE
Wyślij zapytanie

FCV-ATX 404T wentylator dachowy przeciwwybuchowy

Wyślij zapytanie
Wykonanie przeciwwybuchowe ATEX 2G, 3G, 2D, 3D
Wydajność (m3/h) 4600
Ciśnienie (Pa) 540
Moc (kW) 0.55
Prędkość (obr/min) 1440
Napięcie (V) 3~400
Rodzaj wentylatora wentylator dachowy
Typ silnika AC trójfazowy
Zakres temperatury (°C) -20...+40 (+60)
Klasa izolacji F
Ochrona IP55 (IP65)
Regulacja częstotliwościowa
Materiał wentylatora blacha stalowa galwanizowa/ABS

 width=

 width=

 width=

Karta katalogowa
przeciwwybuchowe ATEX 2G, 3G, 2D, 3D 3100 240 0.18 960 3~400 zapytaj o termin
NA ZAMÓWIENIE
Wyślij zapytanie

FCV-ATX 406T wentylator dachowy przeciwwybuchowy

Wyślij zapytanie
Wykonanie przeciwwybuchowe ATEX 2G, 3G, 2D, 3D
Wydajność (m3/h) 3100
Ciśnienie (Pa) 240
Moc (kW) 0.18
Prędkość (obr/min) 960
Napięcie (V) 3~400
Rodzaj wentylatora wentylator dachowy
Typ silnika AC trójfazowy
Zakres temperatury (°C) -20...+40 (+60)
Klasa izolacji F
Ochrona IP55 (IP65)
Regulacja częstotliwościowa
Materiał wentylatora blacha stalowa galwanizowa/ABS

 width=

 width=

 width=

Karta katalogowa
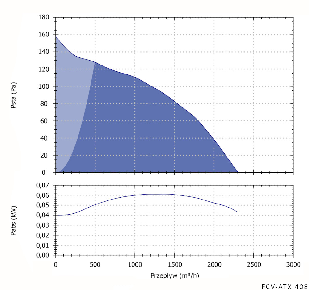
przeciwwybuchowe ATEX 2G, 3G, 2D, 3D 2300 130 0.12 720 3~400 zapytaj o termin
NA ZAMÓWIENIE
Wyślij zapytanie

FCV-ATX 408T wentylator dachowy przeciwwybuchowy

Wyślij zapytanie
Wykonanie przeciwwybuchowe ATEX 2G, 3G, 2D, 3D
Wydajność (m3/h) 2300
Ciśnienie (Pa) 130
Moc (kW) 0.12
Prędkość (obr/min) 720
Napięcie (V) 3~400
Rodzaj wentylatora wentylator dachowy
Typ silnika AC trójfazowy
Zakres temperatury (°C) -20...+40 (+60)
Klasa izolacji F
Ochrona IP55 (IP65)
Regulacja częstotliwościowa
Materiał wentylatora blacha stalowa galwanizowa/ABS

 width=

 width=

 width=

Karta katalogowa
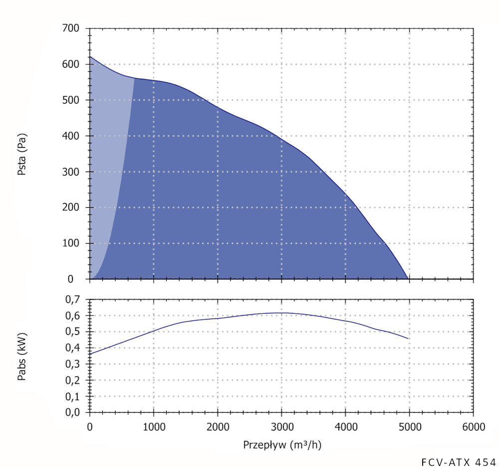
przeciwwybuchowe ATEX 2G, 3G, 2D, 3D 5000 560 0.75 1440 1~230 zapytaj o termin
NA ZAMÓWIENIE
Wyślij zapytanie

FCV-ATX 454M wentylator dachowy przeciwwybuchowy

Wyślij zapytanie
Wykonanie przeciwwybuchowe ATEX 2G, 3G, 2D, 3D
Wydajność (m3/h) 5000
Ciśnienie (Pa) 560
Moc (kW) 0.75
Prędkość (obr/min) 1440
Napięcie (V) 1~230
Rodzaj wentylatora wentylator dachowy
Typ silnika AC jednofazowy
Zakres temperatury (°C) -20...+40 (+60)
Klasa izolacji F
Ochrona IP55 (IP65)
Regulacja -
Materiał wentylatora blacha stalowa galwanizowa/ABS

 width=

 width=

 width=

Karta katalogowa
przeciwwybuchowe ATEX 2G, 3G, 2D, 3D 5000 560 0.75 1440 3~400 zapytaj o termin
NA ZAMÓWIENIE
Wyślij zapytanie

FCV-ATX 454T wentylator dachowy przeciwwybuchowy

Wyślij zapytanie
Wykonanie przeciwwybuchowe ATEX 2G, 3G, 2D, 3D
Wydajność (m3/h) 5000
Ciśnienie (Pa) 560
Moc (kW) 0.75
Prędkość (obr/min) 1440
Napięcie (V) 3~400
Rodzaj wentylatora wentylator dachowy
Typ silnika AC trójfazowy
Zakres temperatury (°C) -20...+40 (+60)
Klasa izolacji F
Ochrona IP55 (IP65)
Regulacja częstotliwościowa
Materiał wentylatora blacha stalowa galwanizowa/ABS

 width=

 width=

 width=

Karta katalogowa
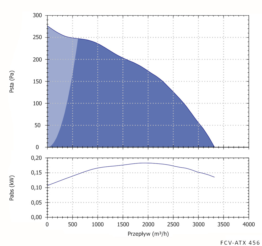
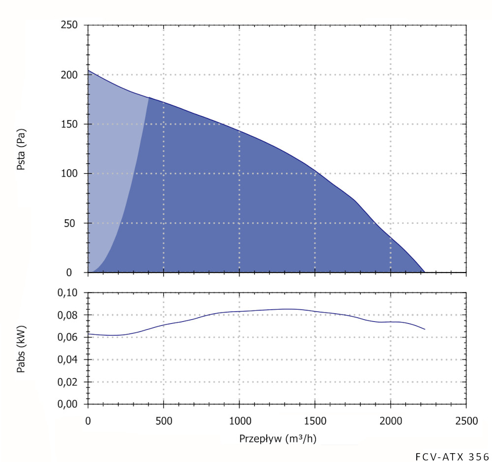
przeciwwybuchowe ATEX 2G, 3G, 2D, 3D 3300 250 0.37 960 3~400 zapytaj o termin
NA ZAMÓWIENIE
Wyślij zapytanie

FCV-ATX 456T wentylator dachowy przeciwwybuchowy

Wyślij zapytanie
Wykonanie przeciwwybuchowe ATEX 2G, 3G, 2D, 3D
Wydajność (m3/h) 3300
Ciśnienie (Pa) 250
Moc (kW) 0.37
Prędkość (obr/min) 960
Napięcie (V) 3~400
Rodzaj wentylatora wentylator dachowy
Typ silnika AC trójfazowy
Zakres temperatury (°C) -20...+40 (+60)
Klasa izolacji F
Ochrona IP55 (IP65)
Regulacja częstotliwościowa
Materiał wentylatora blacha stalowa galwanizowa/ABS

 width=

 width=

 width=

Karta katalogowa
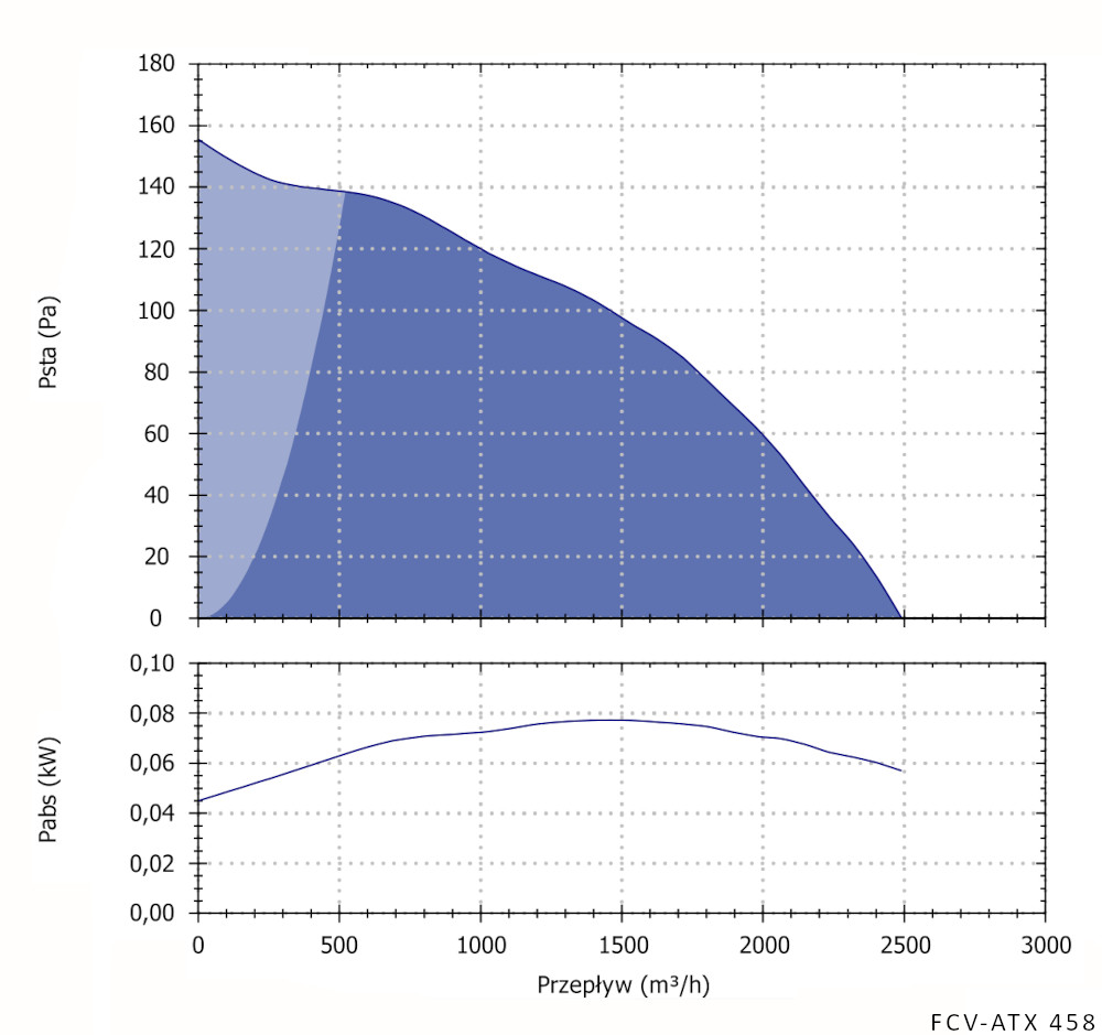
przeciwwybuchowe ATEX 2G, 3G, 2D, 3D 2500 140 0.25 720 3~400 zapytaj o termin
NA ZAMÓWIENIE
Wyślij zapytanie

FCV-ATX 458T wentylator dachowy przeciwwybuchowy

Wyślij zapytanie
Wykonanie przeciwwybuchowe ATEX 2G, 3G, 2D, 3D
Wydajność (m3/h) 2500
Ciśnienie (Pa) 140
Moc (kW) 0.25
Prędkość (obr/min) 720
Napięcie (V) 3~400
Rodzaj wentylatora wentylator dachowy
Typ silnika AC trójfazowy
Zakres temperatury (°C) -20...+40 (+60)
Klasa izolacji F
Ochrona IP55 (IP65)
Regulacja częstotliwościowa
Materiał wentylatora blacha stalowa galwanizowa/ABS

 width=

 width=

 width=

Karta katalogowa
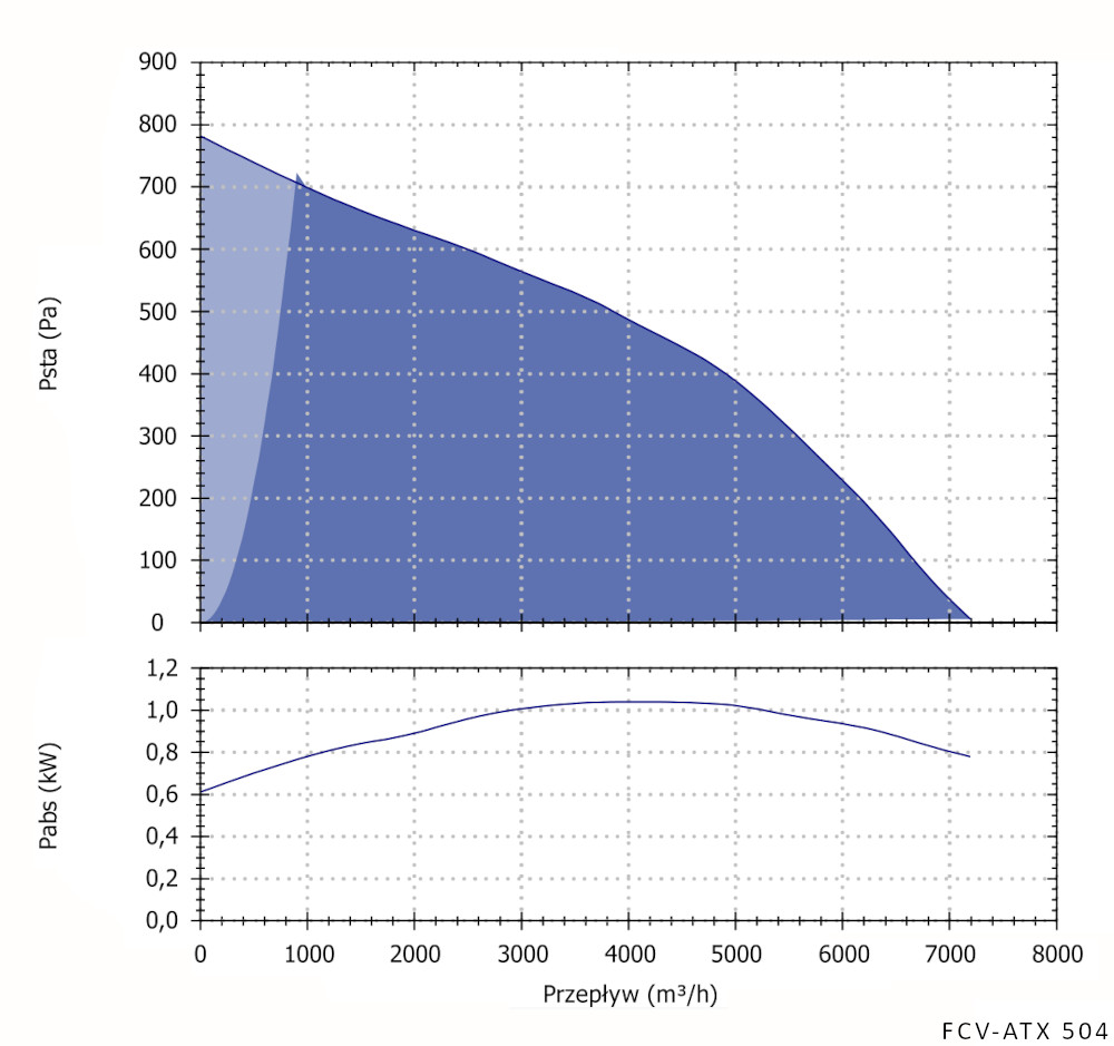
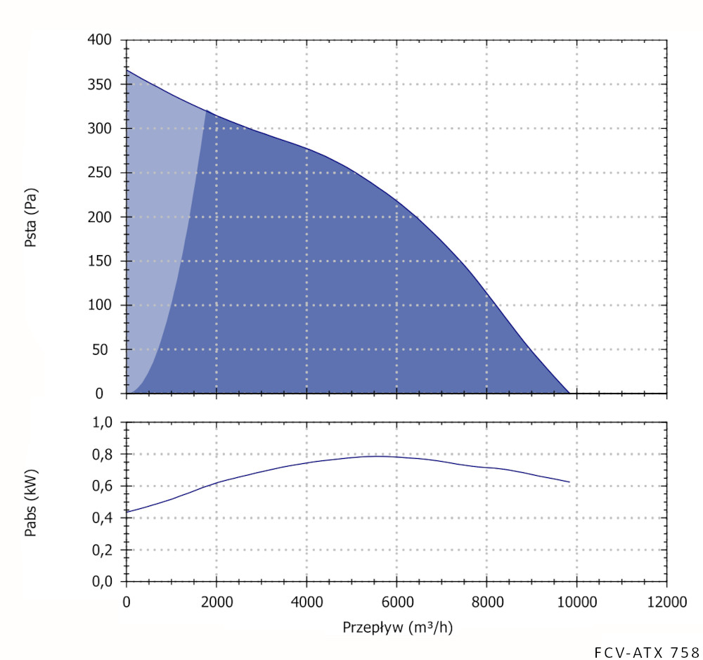
przeciwwybuchowe ATEX 2G, 3G, 2D, 3D 7200 700 1.1 1440 3~400 zapytaj o termin
NA ZAMÓWIENIE
Wyślij zapytanie

FCV-ATX 504T wentylator dachowy przeciwwybuchowy

Wyślij zapytanie
Wykonanie przeciwwybuchowe ATEX 2G, 3G, 2D, 3D
Wydajność (m3/h) 7200
Ciśnienie (Pa) 700
Moc (kW) 1.1
Prędkość (obr/min) 1440
Napięcie (V) 3~400
Rodzaj wentylatora wentylator dachowy
Typ silnika AC trójfazowy
Zakres temperatury (°C) -20...+40 (+60)
Klasa izolacji F
Ochrona IP55 (IP65)
Regulacja częstotliwościowa
Materiał wentylatora blacha stalowa galwanizowa/ABS

 width=

 width=

 width=

Karta katalogowa
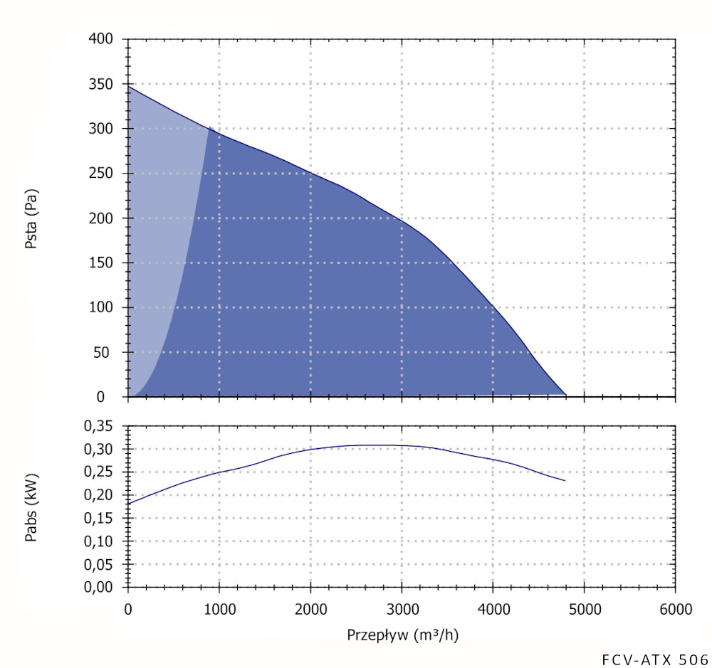
przeciwwybuchowe ATEX 2G, 3G, 2D, 3D 4800 300 0.37 960 3~400 zapytaj o termin
NA ZAMÓWIENIE
Wyślij zapytanie

FCV-ATX 506T wentylator dachowy przeciwwybuchowy

Wyślij zapytanie
Wykonanie przeciwwybuchowe ATEX 2G, 3G, 2D, 3D
Wydajność (m3/h) 4800
Ciśnienie (Pa) 300
Moc (kW) 0.37
Prędkość (obr/min) 960
Napięcie (V) 3~400
Rodzaj wentylatora wentylator dachowy
Typ silnika AC trójfazowy
Zakres temperatury (°C) -20...+40 (+60)
Klasa izolacji F
Ochrona IP55 (IP65)
Regulacja częstotliwościowa
Materiał wentylatora blacha stalowa galwanizowa/ABS

 width=

 width=

 width=

Karta katalogowa
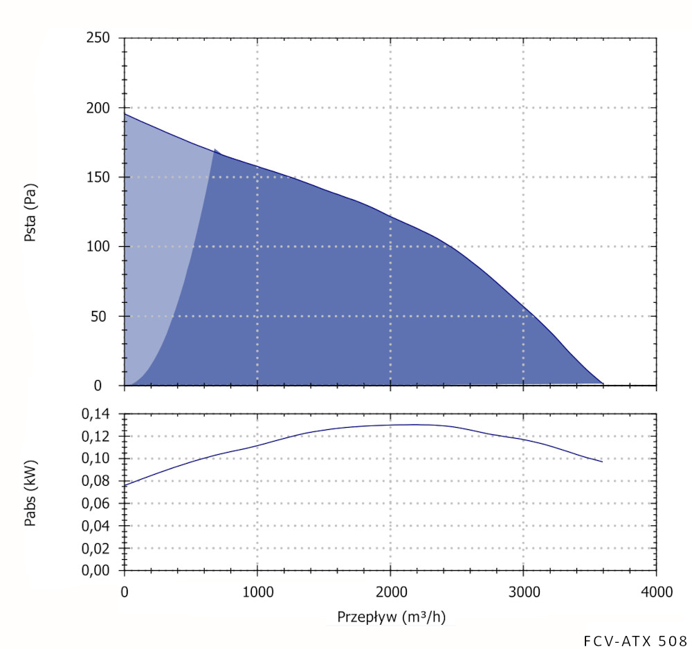
przeciwwybuchowe ATEX 2G, 3G, 2D, 3D 3300 160 0.25 720 3~400 zapytaj o termin
NA ZAMÓWIENIE
Wyślij zapytanie

FCV-ATX 508T wentylator dachowy przeciwwybuchowy

Wyślij zapytanie
Wykonanie przeciwwybuchowe ATEX 2G, 3G, 2D, 3D
Wydajność (m3/h) 3300
Ciśnienie (Pa) 160
Moc (kW) 0.25
Prędkość (obr/min) 720
Napięcie (V) 3~400
Rodzaj wentylatora wentylator dachowy
Typ silnika AC trójfazowy
Zakres temperatury (°C) -20...+40 (+60)
Klasa izolacji F
Ochrona IP55 (IP65)
Regulacja częstotliwościowa
Materiał wentylatora blacha stalowa galwanizowa/ABS

 width=

 width=

 width=

Karta katalogowa
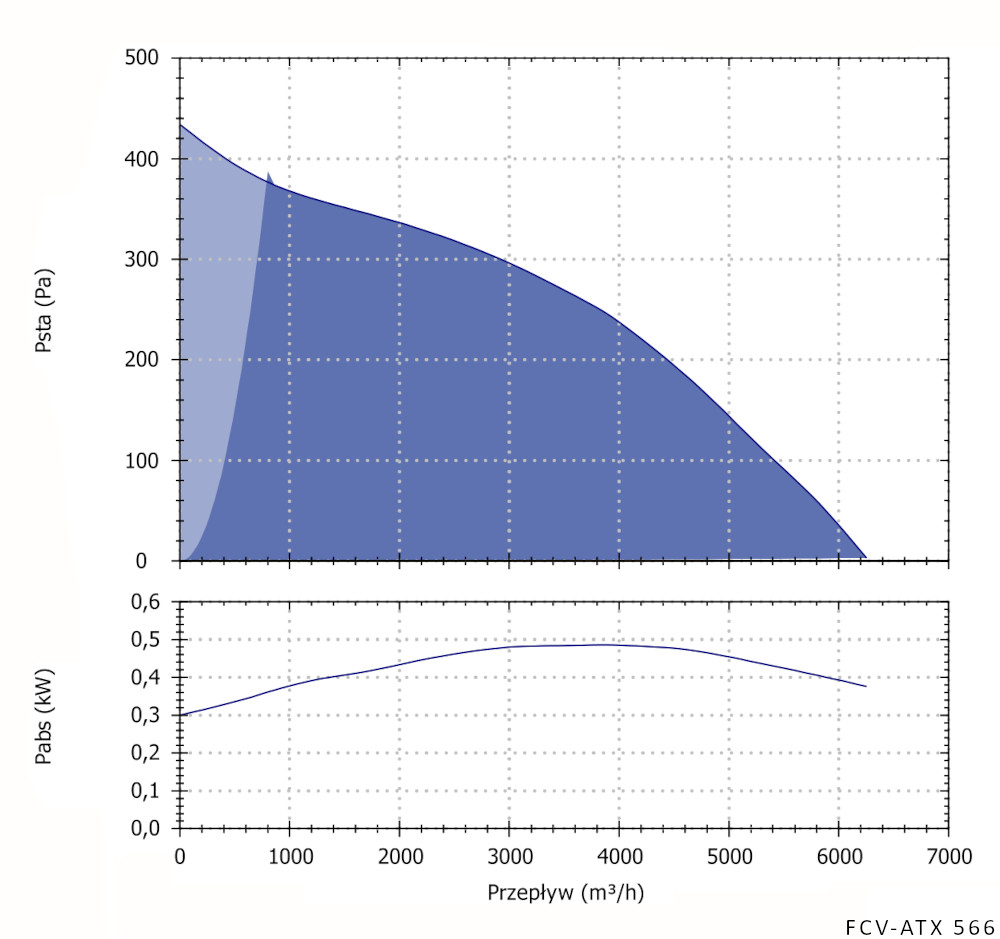
przeciwwybuchowe ATEX 2G, 3G, 2D, 3D 6200 380 0.55 960 3~400 zapytaj o termin
NA ZAMÓWIENIE
Wyślij zapytanie

FCV-ATX 566T wentylator dachowy przeciwwybuchowy

Wyślij zapytanie
Wykonanie przeciwwybuchowe ATEX 2G, 3G, 2D, 3D
Wydajność (m3/h) 6200
Ciśnienie (Pa) 380
Moc (kW) 0.55
Prędkość (obr/min) 960
Napięcie (V) 3~400
Rodzaj wentylatora wentylator dachowy
Typ silnika AC trójfazowy
Zakres temperatury (°C) -20...+40 (+60)
Klasa izolacji F
Ochrona IP55 (IP65)
Regulacja częstotliwościowa
Materiał wentylatora blacha stalowa galwanizowa/ABS

 width=

 width=

 width=

Karta katalogowa
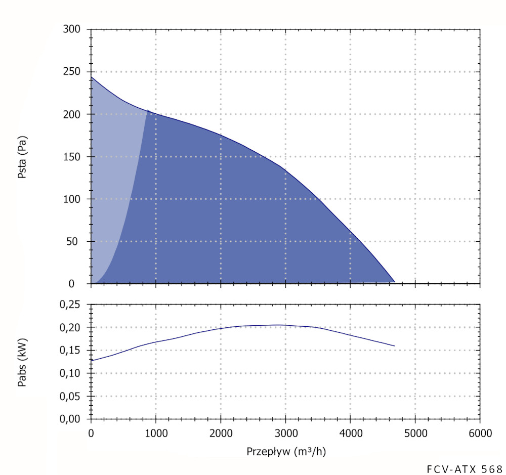
przeciwwybuchowe ATEX 2G, 3G, 2D, 3D 4300 200 0.25 720 3~400 zapytaj o termin
NA ZAMÓWIENIE
Wyślij zapytanie

FCV-ATX 568T wentylator dachowy przeciwwybuchowy

Wyślij zapytanie
Wykonanie przeciwwybuchowe ATEX 2G, 3G, 2D, 3D
Wydajność (m3/h) 4300
Ciśnienie (Pa) 200
Moc (kW) 0.25
Prędkość (obr/min) 720
Napięcie (V) 3~400
Rodzaj wentylatora wentylator dachowy
Typ silnika AC trójfazowy
Zakres temperatury (°C) -20...+40 (+60)
Klasa izolacji F
Ochrona IP55 (IP65)
Regulacja częstotliwościowa
Materiał wentylatora blacha stalowa galwanizowa/ABS

 width=

 width=

 width=

Karta katalogowa
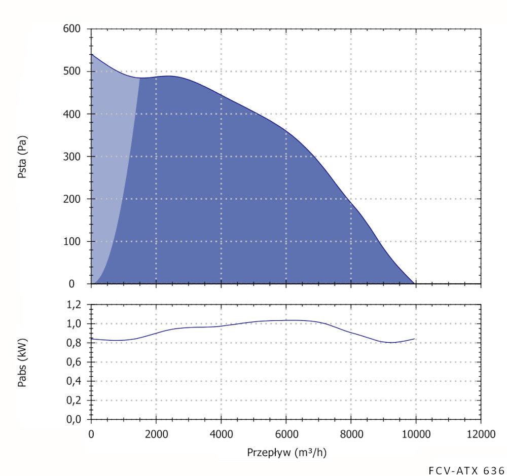
przeciwwybuchowe ATEX 2G, 3G, 2D, 3D 10000 500 1.1 960 3~400 zapytaj o termin
NA ZAMÓWIENIE
Wyślij zapytanie

FCV-ATX 636T wentylator dachowy przeciwwybuchowy

Wyślij zapytanie
Wykonanie przeciwwybuchowe ATEX 2G, 3G, 2D, 3D
Wydajność (m3/h) 10000
Ciśnienie (Pa) 500
Moc (kW) 1.1
Prędkość (obr/min) 960
Napięcie (V) 3~400
Rodzaj wentylatora wentylator dachowy
Typ silnika AC trójfazowy
Zakres temperatury (°C) -20...+40 (+60)
Klasa izolacji F
Ochrona IP55 (IP65)
Regulacja częstotliwościowa
Materiał wentylatora blacha stalowa galwanizowa/ABS

 width=

 width=

 width=

Karta katalogowa
przeciwwybuchowe ATEX 2G, 3G, 2D, 3D 7400 270 0.55 720 3~400 zapytaj o termin
NA ZAMÓWIENIE
Wyślij zapytanie

FCV-ATX 638T wentylator dachowy przeciwwybuchowy

Wyślij zapytanie
Wykonanie przeciwwybuchowe ATEX 2G, 3G, 2D, 3D
Wydajność (m3/h) 7400
Ciśnienie (Pa) 270
Moc (kW) 0.55
Prędkość (obr/min) 720
Napięcie (V) 3~400
Rodzaj wentylatora wentylator dachowy
Typ silnika AC trójfazowy
Zakres temperatury (°C) -20...+40 (+60)
Klasa izolacji F
Ochrona IP55 (IP65)
Regulacja częstotliwościowa
Materiał wentylatora blacha stalowa galwanizowa/ABS

 width=

 width=

 width=

Karta katalogowa
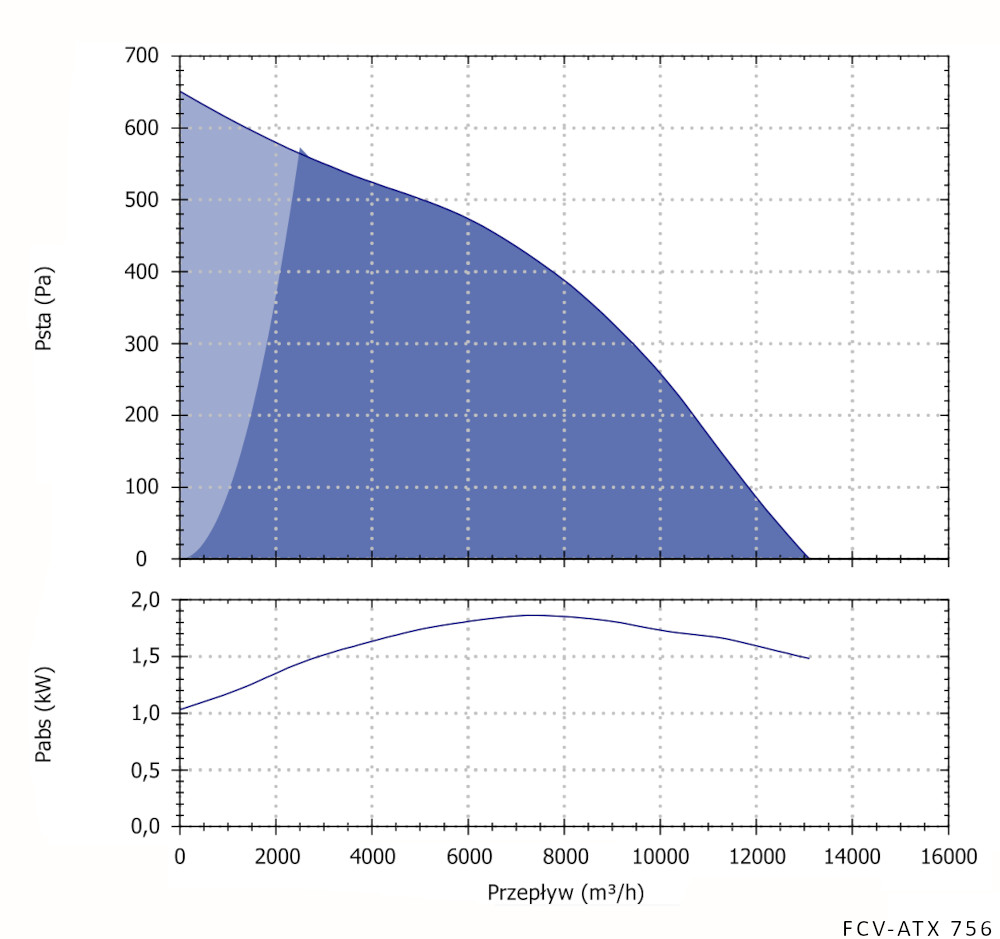
przeciwwybuchowe ATEX 2G, 3G, 2D, 3D 13000 560 2.2 960 3~400 zapytaj o termin
NA ZAMÓWIENIE
Wyślij zapytanie

FCV-ATX 756T wentylator dachowy przeciwwybuchowy

Wyślij zapytanie
Wykonanie przeciwwybuchowe ATEX 2G, 3G, 2D, 3D
Wydajność (m3/h) 13000
Ciśnienie (Pa) 560
Moc (kW) 2.2
Prędkość (obr/min) 960
Napięcie (V) 3~400
Rodzaj wentylatora wentylator dachowy
Typ silnika AC trójfazowy
Zakres temperatury (°C) -20...+40 (+60)
Klasa izolacji F
Ochrona IP55 (IP65)
Regulacja częstotliwościowa
Materiał wentylatora blacha stalowa galwanizowa/ABS

 width=

 width=

 width=

Karta katalogowa
przeciwwybuchowe ATEX 2G, 3G, 2D, 3D 10000 320 1.1 720 3~400 zapytaj o termin
NA ZAMÓWIENIE
Wyślij zapytanie

FCV-ATX 758T wentylator dachowy przeciwwybuchowy

Wyślij zapytanie
Wykonanie przeciwwybuchowe ATEX 2G, 3G, 2D, 3D
Wydajność (m3/h) 10000
Ciśnienie (Pa) 320
Moc (kW) 1.1
Prędkość (obr/min) 720
Napięcie (V) 3~400
Rodzaj wentylatora wentylator dachowy
Typ silnika AC trójfazowy
Zakres temperatury (°C) -20...+40 (+60)
Klasa izolacji F
Ochrona IP55 (IP65)
Regulacja częstotliwościowa
Materiał wentylatora blacha stalowa galwanizowa/ABS

 width=

 width=

 width=

Karta katalogowa
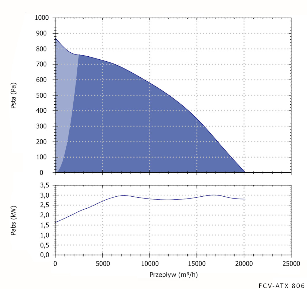
przeciwwybuchowe ATEX 2G, 3G, 2D, 3D 20000 780 3 960 3~400 zapytaj o termin
NA ZAMÓWIENIE
Wyślij zapytanie

FCV-ATX 806T wentylator dachowy przeciwwybuchowy

Wyślij zapytanie
Wykonanie przeciwwybuchowe ATEX 2G, 3G, 2D, 3D
Wydajność (m3/h) 20000
Ciśnienie (Pa) 780
Moc (kW) 3
Prędkość (obr/min) 960
Napięcie (V) 3~400
Rodzaj wentylatora wentylator dachowy
Typ silnika AC trójfazowy
Zakres temperatury (°C) -20...+40 (+60)
Klasa izolacji F
Ochrona IP55 (IP65)
Regulacja częstotliwościowa
Materiał wentylatora blacha stalowa galwanizowa/ABS

 width=

 width=

 width=

Karta katalogowa
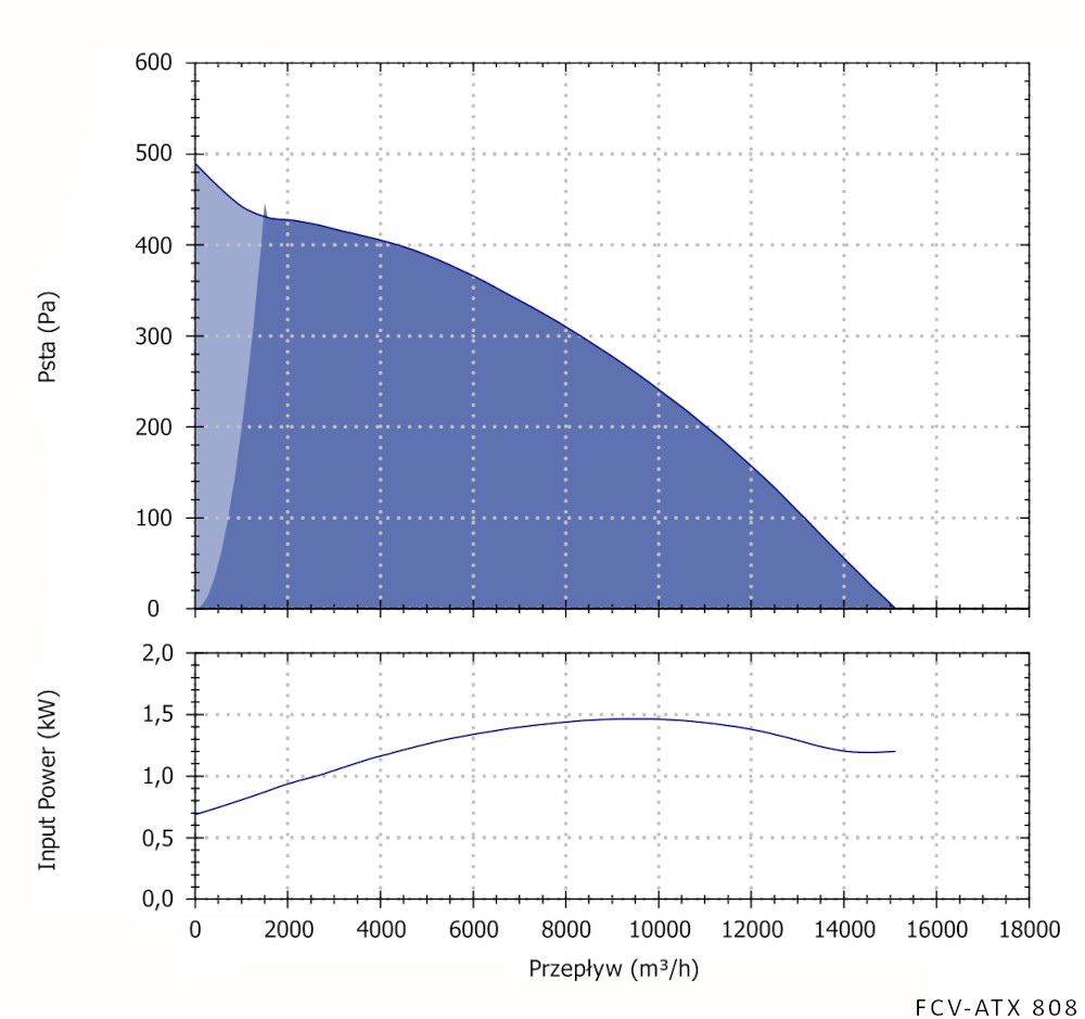
przeciwwybuchowe ATEX 2G, 3G, 2D, 3D 15000 440 1.5 720 3~400 zapytaj o termin
NA ZAMÓWIENIE
Wyślij zapytanie

FCV-ATX 808T wentylator dachowy przeciwwybuchowy

Wyślij zapytanie
Wykonanie przeciwwybuchowe ATEX 2G, 3G, 2D, 3D
Wydajność (m3/h) 15000
Ciśnienie (Pa) 440
Moc (kW) 1.5
Prędkość (obr/min) 720
Napięcie (V) 3~400
Rodzaj wentylatora wentylator dachowy
Typ silnika AC trójfazowy
Zakres temperatury (°C) -20...+40 (+60)
Klasa izolacji F
Ochrona IP55 (IP65)
Regulacja częstotliwościowa
Materiał wentylatora blacha stalowa galwanizowa/ABS

 width=

 width=

 width=