Luftberg – wentylatory przemysłowe., wentylatory EBM Papst

Seria FC 2V

Qmax = 20000 m3/h
Pst = 760 Pa
T = -20...+100 °C

OPIS
Dwubiegowe wentylatory dachowe serii FC 2V to urządzenia niskociśnieniowe zaprojektowane z myślą o łatwej instalacji, wysokiej wydajności oraz niskim poziomie hałasu. Znajdują zastosowanie w budynkach mieszkalnych, komercyjnych i przemysłowych, w wentylacji bezpośredniej oraz kanałowej. Wentylatory FC 2V przystosowane są do przetłaczania czystego oraz lekko zanieczyszczonego powietrza o temperaturze maksymalnej +100°C. Wentylatory FC 2V wykonane z poziomym wyrzutem powietrza.

KONSTRUKCJA
– podstawa wentylatora z galwanizowanej blachy stalowej
– wirnik promieniowy z łopatami zagiętymi do tyłu, wyważony statycznie oraz dynamicznie zgodnie z normą SO 21940-11:2017
– siatka ochronna wentylatora z drutu stalowego zabezpieczonego przeciw czynnikom atmosferycznym
– kopuła wentylatora z tworzywa ABS
– napęd wentylatora bezpośredni (wirnik osadzony na wale silnika), silnik odseparowany od przetłaczającego medium
– silnik asynchroniczny trójfazowy dwubiegowy przystosowany do pracy ciągłej S1, możliwa regulacja prędkości obrotowej, stopień ochrony IP55, klasa izolacji F
– silniki zgodne z normami międzynarodowymi IEC 60034, IEC 60072, EMC 2004/108/CE, LVD 2006/95/CE, silniki oznakowane znakiem CE

DOSTĘPNE WYKONANIA
– wykonanie z silnikiem jednobiegowym
– wykonanie z pionowym wyrzutem powietrza

SPECYFIKACJA
– przetłaczane medium: powietrze czyste oraz lekko zanieczyszczone
– zakres temperaturowy przetłaczanego medium -20…+100°C
– napięcie zasilania 3x400VAC 50Hz (inne na zapytanie)
– poziomy wyrzut powietrza

AKCESORIA
– grawitacyjna klapa zwrotna
– tłumik akustyczny
– podstawa dachowa
– siatka zabezpieczająca płaska
– cokół izolowany
– lej wlotowy
– wyłącznik serwisowy

Zdjęcie Nazwa Wykonanie Wydajność (m3/h) Ciśnienie (Pa) Moc (kW) Prędkość (obr/min) Napięcie (V) Wysyłka Cena
Karta katalogowa
dwubiegowe 2000 290 0.18 1440/960 3~400 zapytaj o termin
NA ZAMÓWIENIE
Wyślij zapytanie

FC 314T 2V wentylator dachowy

Wyślij zapytanie
Wykonanie dwubiegowe
Wydajność (m3/h) 2000
Ciśnienie (Pa) 290
Moc (kW) 0.18
Prędkość (obr/min) 1440/960
Napięcie (V) 3~400
Rodzaj wentylatora wentylator dachowy
Typ silnika AC trójfazowy
Zakres temperatury (°C) -20...+100
Klasa izolacji F
Ochrona IP55
Regulacja częstotliwościowa
Materiał wentylatora blacha stalowa galwanizowa/ABS

 width=

 width=

 width=

Karta katalogowa
dwubiegowe 3300 400 0.29 1440/960 3~400 zapytaj o termin
NA ZAMÓWIENIE
Wyślij zapytanie

FC 354T 2V wentylator dachowy

Wyślij zapytanie
Wykonanie dwubiegowe
Wydajność (m3/h) 3300
Ciśnienie (Pa) 400
Moc (kW) 0.29
Prędkość (obr/min) 1440/960
Napięcie (V) 3~400
Rodzaj wentylatora wentylator dachowy
Typ silnika AC trójfazowy
Zakres temperatury (°C) -20...+100
Klasa izolacji F
Ochrona IP55
Regulacja częstotliwościowa
Materiał wentylatora blacha stalowa galwanizowa/ABS

 width=

 width=

 width=

Karta katalogowa
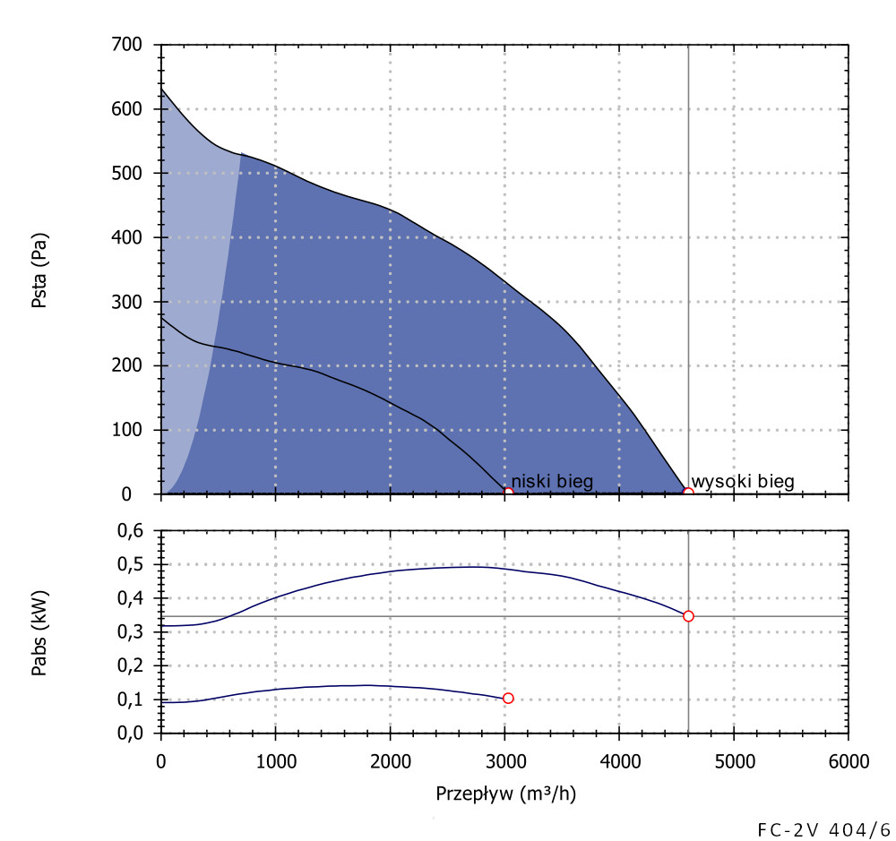
dwubiegowe 4600 540 0.55 1440/960 3~400 zapytaj o termin
NA ZAMÓWIENIE
Wyślij zapytanie

FC 404T 2V wentylator dachowy

Wyślij zapytanie
Wykonanie dwubiegowe
Wydajność (m3/h) 4600
Ciśnienie (Pa) 540
Moc (kW) 0.55
Prędkość (obr/min) 1440/960
Napięcie (V) 3~400
Rodzaj wentylatora wentylator dachowy
Typ silnika AC trójfazowy
Zakres temperatury (°C) -20...+100
Klasa izolacji F
Ochrona IP55
Regulacja częstotliwościowa
Materiał wentylatora blacha stalowa galwanizowa/ABS

 width=

 width=

 width=

Karta katalogowa
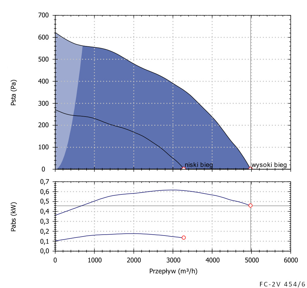
dwubiegowe 5000 560 0.75 1440/960 3~400 zapytaj o termin
NA ZAMÓWIENIE
Wyślij zapytanie

FC 454T 2V wentylator dachowy

Wyślij zapytanie
Wykonanie dwubiegowe
Wydajność (m3/h) 5000
Ciśnienie (Pa) 560
Moc (kW) 0.75
Prędkość (obr/min) 1440/960
Napięcie (V) 3~400
Rodzaj wentylatora wentylator dachowy
Typ silnika AC trójfazowy
Zakres temperatury (°C) -20...+100
Klasa izolacji F
Ochrona IP55
Regulacja częstotliwościowa
Materiał wentylatora blacha stalowa galwanizowa/ABS

 width=

 width=

 width=

Karta katalogowa
dwubiegowe 7200 700 1.4 1440/960 3~400 zapytaj o termin
NA ZAMÓWIENIE
Wyślij zapytanie

FC 504T 2V wentylator dachowy

Wyślij zapytanie
Wykonanie dwubiegowe
Wydajność (m3/h) 7200
Ciśnienie (Pa) 700
Moc (kW) 1.4
Prędkość (obr/min) 1440/960
Napięcie (V) 3~400
Rodzaj wentylatora wentylator dachowy
Typ silnika AC trójfazowy
Zakres temperatury (°C) -20...+100
Klasa izolacji F
Ochrona IP55
Regulacja częstotliwościowa
Materiał wentylatora blacha stalowa galwanizowa/ABS

 width=

 width=

 width=

Karta katalogowa
dwubiegowe 6200 380 0.65 960/720 3~400 zapytaj o termin
NA ZAMÓWIENIE
Wyślij zapytanie

FC 566T 2V wentylator dachowy

Wyślij zapytanie
Wykonanie dwubiegowe
Wydajność (m3/h) 6200
Ciśnienie (Pa) 380
Moc (kW) 0.65
Prędkość (obr/min) 960/720
Napięcie (V) 3~400
Rodzaj wentylatora wentylator dachowy
Typ silnika AC trójfazowy
Zakres temperatury (°C) -20...+100
Klasa izolacji F
Ochrona IP55
Regulacja częstotliwościowa
Materiał wentylatora blacha stalowa galwanizowa/ABS

 width=

 width=

 width=

Karta katalogowa
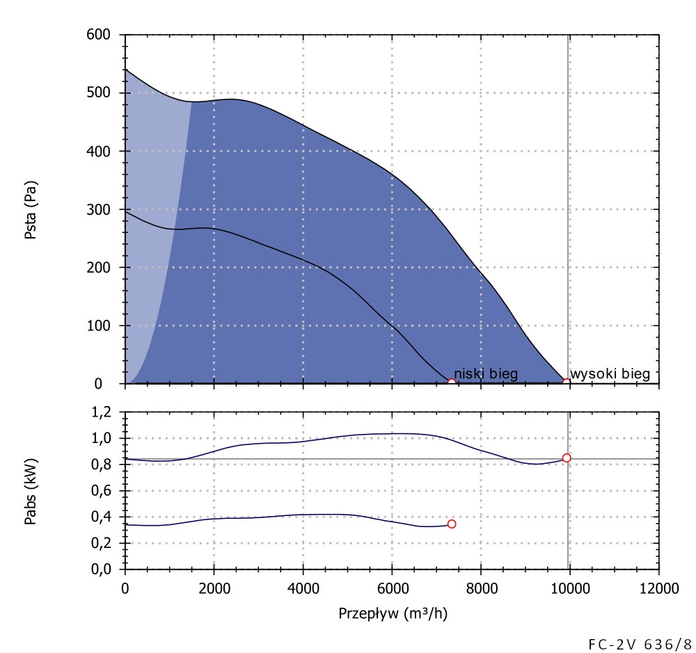
dwubiegowe 10000 500 1.3 960/720 3~400 zapytaj o termin
NA ZAMÓWIENIE
Wyślij zapytanie

FC 636T 2V wentylator dachowy

Wyślij zapytanie
Wykonanie dwubiegowe
Wydajność (m3/h) 10000
Ciśnienie (Pa) 500
Moc (kW) 1.3
Prędkość (obr/min) 960/720
Napięcie (V) 3~400
Rodzaj wentylatora wentylator dachowy
Typ silnika AC trójfazowy
Zakres temperatury (°C) -20...+100
Klasa izolacji F
Ochrona IP55
Regulacja częstotliwościowa
Materiał wentylatora blacha stalowa galwanizowa/ABS

 width=

 width=

 width=

Karta katalogowa
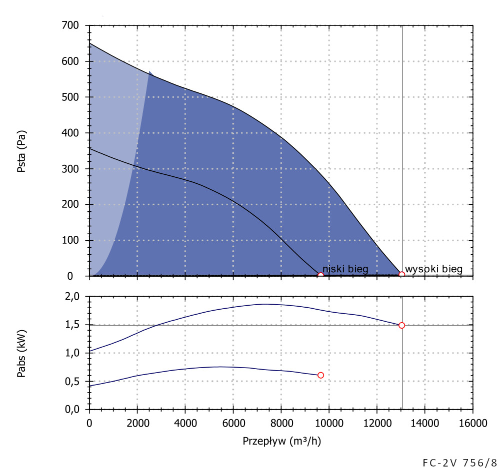
dwubiegowe 13000 560 2.2 960/720 3~400 zapytaj o termin
NA ZAMÓWIENIE
Wyślij zapytanie

FC 756T 2V wentylator dachowy

Wyślij zapytanie
Wykonanie dwubiegowe
Wydajność (m3/h) 13000
Ciśnienie (Pa) 560
Moc (kW) 2.2
Prędkość (obr/min) 960/720
Napięcie (V) 3~400
Rodzaj wentylatora wentylator dachowy
Typ silnika AC trójfazowy
Zakres temperatury (°C) -20...+100
Klasa izolacji F
Ochrona IP55
Regulacja częstotliwościowa
Materiał wentylatora blacha stalowa galwanizowa/ABS

 width=

 width=

 width=

Karta katalogowa
dwubiegowe 20000 780 3.7 960/720 3~400 zapytaj o termin
NA ZAMÓWIENIE
Wyślij zapytanie

FC 806T 2V wentylator dachowy

Wyślij zapytanie
Wykonanie dwubiegowe
Wydajność (m3/h) 20000
Ciśnienie (Pa) 780
Moc (kW) 3.7
Prędkość (obr/min) 960/720
Napięcie (V) 3~400
Rodzaj wentylatora wentylator dachowy
Typ silnika AC trójfazowy
Zakres temperatury (°C) -20...+100
Klasa izolacji F
Ochrona IP55
Regulacja częstotliwościowa
Materiał wentylatora blacha stalowa galwanizowa/ABS

 width=

 width=

 width=