Luftberg – wentylatory przemysłowe., wentylatory EBM Papst

Seria FC-AT

Qmax = 20000 m3/h
Pst = 760 Pa
T = +65…+200 °C

OPIS
Wysokotemperaturowe wentylatory dachowe serii FC-AT to urządzenia niskociśnieniowe zaprojektowane z myślą o łatwej instalacji, wysokiej wydajności oraz niskim poziomie hałasu. Znajdują zastosowanie w budynkach mieszkalnych, komercyjnych i przemysłowych, w wentylacji bezpośredniej oraz kanałowej. Wentylatory dachowe FC-AT przystosowane są do przetłaczania czystego oraz lekko zanieczyszczonego powietrza o temperaturze w zakresie od +65°C do +200°C. Wentylatory FC-AT wykonane z poziomym wyrzutem powietrza.

KONSTRUKCJA
– podstawa wentylatora z galwanizowanej blachy stalowej
– wirnik promieniowy z łopatami zagiętymi do tyłu, wyważony statycznie oraz dynamicznie zgodnie z normą SO 21940-11:2017
– siatka ochronna wentylatora z drutu stalowego zabezpieczonego przeciw czynnikom atmosferycznym
– kopuła wentylatora wykonana z blachy aluminiowej
– napęd wentylatora bezpośredni (wirnik osadzony na wale silnika), silnik odseparowany od przetłaczającego medium
– silnik asynchroniczny trójfazowy przystosowany do pracy ciągłej S1, możliwa regulacja prędkości obrotowej, stopień ochrony IP55, klasa izolacji F
– silniki zgodne z normami międzynarodowymi IEC 60034, IEC 60072, EMC 2004/108/CE, LVD 2006/95/CE, silniki oznakowane znakiem CE

DOSTĘPNE WYKONANIA
– wykonanie oddymiające F400
– wykonanie z silnikiem dwubiegowym

SPECYFIKACJA
– przetłaczane medium: powietrze czyste oraz lekko zanieczyszczone
– zakres temperaturowy przetłaczanego medium +65…+200°C
– napięcie zasilania 3x400VAC 50Hz (inne na zapytanie)
– poziomy wyrzut powietrza

AKCESORIA
– grawitacyjna klapa zwrotna
– tłumik akustyczny
– podstawa dachowa
– siatka zabezpieczająca płaska
– cokół izolowany
– lej wlotowy
– wyłącznik serwisowy

Zdjęcie Nazwa Wykonanie Wydajność (m3/h) Ciśnienie (Pa) Moc (kW) Prędkość (obr/min) Napięcie (V) Wysyłka Cena
Karta katalogowa
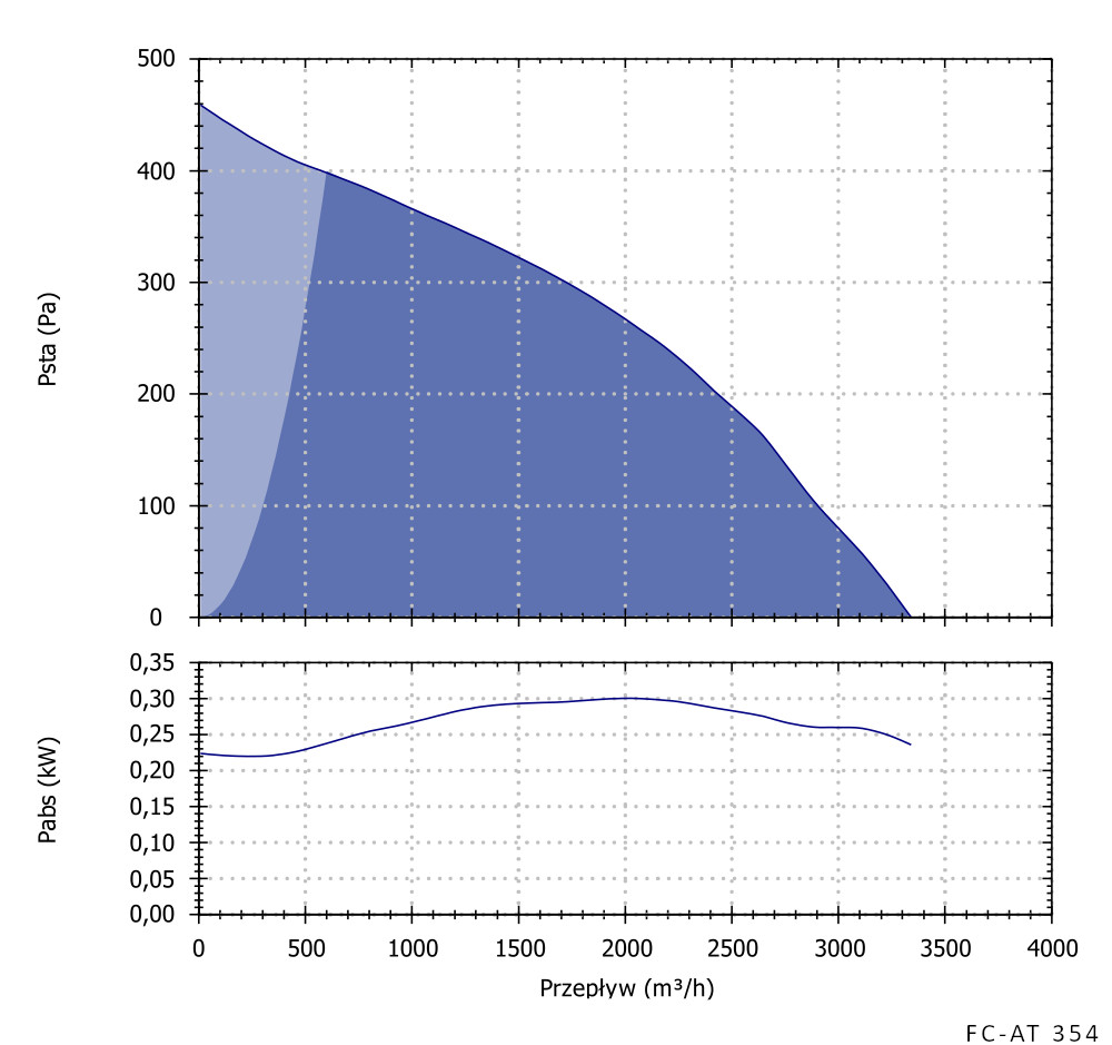
wysokotemperaturowe 3300 400 0.25 1440 3~400 zapytaj o termin
NA ZAMÓWIENIE
Wyślij zapytanie

FC-AT 354T wentylator dachowy

Wyślij zapytanie
Wykonanie wysokotemperaturowe
Wydajność (m3/h) 3300
Ciśnienie (Pa) 400
Moc (kW) 0.25
Prędkość (obr/min) 1440
Napięcie (V) 3~400
Rodzaj wentylatora wentylator dachowy
Typ silnika AC trójfazowy
Zakres temperatury (°C) -20...+200
Klasa izolacji F
Ochrona IP55
Regulacja częstotliwościowa
Materiał wentylatora blacha stalowa galwanizowa/aluminiowa

 width=

 width=

 width=

Karta katalogowa
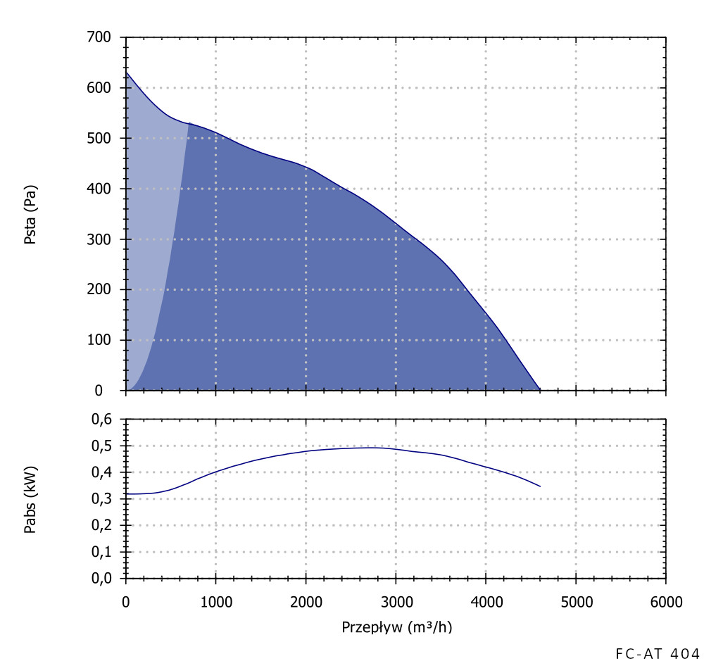
wysokotemperaturowe 4600 540 0.55 1440 3~400 zapytaj o termin
NA ZAMÓWIENIE
Wyślij zapytanie

FC-AT 404T wentylator dachowy

Wyślij zapytanie
Wykonanie wysokotemperaturowe
Wydajność (m3/h) 4600
Ciśnienie (Pa) 540
Moc (kW) 0.55
Prędkość (obr/min) 1440
Napięcie (V) 3~400
Rodzaj wentylatora wentylator dachowy
Typ silnika AC trójfazowy
Zakres temperatury (°C) -20...+200
Klasa izolacji F
Ochrona IP55
Regulacja częstotliwościowa
Materiał wentylatora blacha stalowa galwanizowa/aluminiowa

 width=

 width=

 width=

Karta katalogowa
wysokotemperaturowe 5000 560 0.75 1440 3~400 zapytaj o termin
NA ZAMÓWIENIE
Wyślij zapytanie

FC-AT 454T wentylator dachowy

Wyślij zapytanie
Wykonanie wysokotemperaturowe
Wydajność (m3/h) 5000
Ciśnienie (Pa) 560
Moc (kW) 0.75
Prędkość (obr/min) 1440
Napięcie (V) 3~400
Rodzaj wentylatora wentylator dachowy
Typ silnika AC trójfazowy
Zakres temperatury (°C) -20...+200
Klasa izolacji F
Ochrona IP55
Regulacja częstotliwościowa
Materiał wentylatora blacha stalowa galwanizowa/aluminiowa

 width=

 width=

 width=

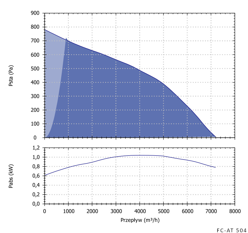
Karta katalogowa
wysokotemperaturowe 7200 700 1.1 1440 3~400 zapytaj o termin
NA ZAMÓWIENIE
Wyślij zapytanie

FC-AT 504T wentylator dachowy

Wyślij zapytanie
Wykonanie wysokotemperaturowe
Wydajność (m3/h) 7200
Ciśnienie (Pa) 700
Moc (kW) 1.1
Prędkość (obr/min) 1440
Napięcie (V) 3~400
Rodzaj wentylatora wentylator dachowy
Typ silnika AC trójfazowy
Zakres temperatury (°C) -20...+200
Klasa izolacji F
Ochrona IP55
Regulacja częstotliwościowa
Materiał wentylatora blacha stalowa galwanizowa/aluminiowa

 width=

 width=

 width=

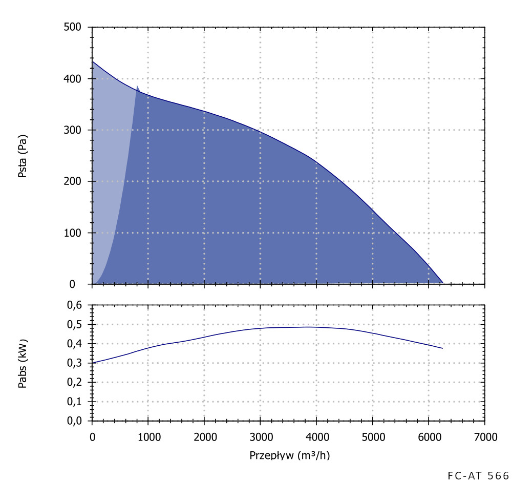
Karta katalogowa
wysokotemperaturowe 6200 380 0.55 960 3~400 zapytaj o termin
NA ZAMÓWIENIE
Wyślij zapytanie

FC-AT 566T wentylator dachowy

Wyślij zapytanie
Wykonanie wysokotemperaturowe
Wydajność (m3/h) 6200
Ciśnienie (Pa) 380
Moc (kW) 0.55
Prędkość (obr/min) 960
Napięcie (V) 3~400
Rodzaj wentylatora wentylator dachowy
Typ silnika AC trójfazowy
Zakres temperatury (°C) -20...+200
Klasa izolacji F
Ochrona IP55
Regulacja częstotliwościowa
Materiał wentylatora blacha stalowa galwanizowa/aluminiowa

 width=

 width=

 width=

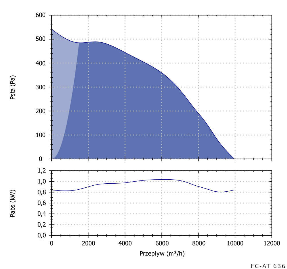
Karta katalogowa
wysokotemperaturowe 10000 500 1.1 960 3~400 zapytaj o termin
NA ZAMÓWIENIE
Wyślij zapytanie

FC-AT 636T wentylator dachowy

Wyślij zapytanie
Wykonanie wysokotemperaturowe
Wydajność (m3/h) 10000
Ciśnienie (Pa) 500
Moc (kW) 1.1
Prędkość (obr/min) 960
Napięcie (V) 3~400
Rodzaj wentylatora wentylator dachowy
Typ silnika AC trójfazowy
Zakres temperatury (°C) -20...+200
Klasa izolacji F
Ochrona IP55
Regulacja częstotliwościowa
Materiał wentylatora blacha stalowa galwanizowa/aluminiowa

 width=

 width=

 width=

Karta katalogowa
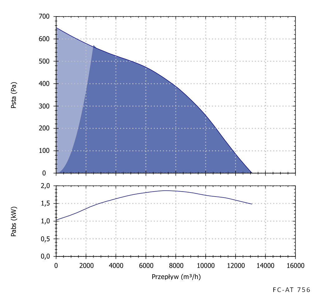
wysokotemperaturowe 13000 560 2.2 960 3~400 zapytaj o termin
NA ZAMÓWIENIE
Wyślij zapytanie

FC-AT 756T wentylator dachowy

Wyślij zapytanie
Wykonanie wysokotemperaturowe
Wydajność (m3/h) 13000
Ciśnienie (Pa) 560
Moc (kW) 2.2
Prędkość (obr/min) 960
Napięcie (V) 3~400
Rodzaj wentylatora wentylator dachowy
Typ silnika AC trójfazowy
Zakres temperatury (°C) -20...+200
Klasa izolacji F
Ochrona IP55
Regulacja częstotliwościowa
Materiał wentylatora blacha stalowa galwanizowa/aluminiowa

 width=

 width=

 width=

Karta katalogowa
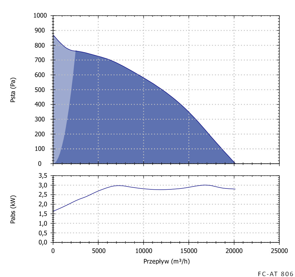
wysokotemperaturowe 20000 780 3 960 3~400 zapytaj o termin
NA ZAMÓWIENIE
Wyślij zapytanie

FC-AT 806T wentylator dachowy

Wyślij zapytanie
Wykonanie wysokotemperaturowe
Wydajność (m3/h) 20000
Ciśnienie (Pa) 780
Moc (kW) 3
Prędkość (obr/min) 960
Napięcie (V) 3~400
Rodzaj wentylatora wentylator dachowy
Typ silnika AC trójfazowy
Zakres temperatury (°C) -20...+200
Klasa izolacji F
Ochrona IP55
Regulacja częstotliwościowa
Materiał wentylatora blacha stalowa galwanizowa/aluminiowa

 width=

 width=

 width=